Foram encontradas 769 questões.
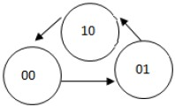
Circuitos sequenciais podem ser representados através de máquinas de estado. A figura representa uma máquina de estados finita de três estados.

O circuito implementado utilizando apenas FFs tipo D, para a máquina de estados da figura, é corretamente representado na alternativa
Provas
O circuito representado através da figura é uma fonte controlada.

A tensão V2 e a corrente I2 está representada, respectivamente, na alternativa
Provas

O circuito representado pela figura é um quadripolo. Sabendo que:
!$ \begin{bmatrix} V_1 \\ V_2 \end{bmatrix} = \begin{bmatrix} Z_{11} & Z_{12} \\ Z_{21} & Z_{22} \end{bmatrix} \cdot \begin{bmatrix} I_1 \\ I_2 \end{bmatrix} !$
A impedância da porta 1 considerando a porta 2 aberta é corretamente representada na alternativa
Provas
Semicondutores são elementos que possuem quatro elétrons na camada de valência. No desenvolvimento de componentes eletrônicos, para criação da junção PN a exemplo, são utilizados alguns elementos, com o intuito de dopar o cristal semicondutor intrínseco. Os elementos apresentados a seguir são utilizados para a criação de um cristal de Silício tipo P, EXCETO:
Provas
Considere duas placas eletrizadas em local aberto de acordo com a figura.

O campo elétrico formado por estas placas é igual a 4 !$ \times !$ 106 N/C, desta forma é correto afirmar que irá ocorrer
Provas
A máquina de indução é, dentre as máquinas elétricas, a mais utilizada na indústria. Na máquina assíncrona, tanto o rotor quanto o estator conduzem corrente alternada. A velocidade nominal do rotor do motor de indução de 10 CV, 60 Hz, 4 polos, quando acionando uma carga em condições nominais, é da ordem de 1728 rpm. Nessas condições e em regime permanente, o valor do escorregamento do rotor desse motor equivale a
Provas
Um transformador é constituído por um núcleo, feito de um material altamente imantável, e duas bobinas com número diferente de espiras isoladas entre si, chamadas primário (bobina que recebe a tensão da rede) e secundário (bobina em que sai a tensão transformada). Certo transformador de 25 KVA, 13,8/0,38 KV, alimentando uma carga em condições nominais, apresenta perdas no cobre e no ferro no valor de 700 W e 400 W. Sabendo que o fator de potência é igual a 0,8 indutivo, qual o valor aproximado do seu rendimento?
Provas
Os progressos registrados no domínio dos novos materiais magnéticos reincentivaram um grande desenvolvimento das máquinas síncronas a ímãs permanentes. São vantagens da utilização de ímãs permanentes, EXCETO:
Provas
Um motor síncrono literalmente opera “em tempo com” ou “em sincronismo com” o sistema de alimentação. Os motores síncronos estão sendo utilizados com maior frequência pelas indústrias, devido ao fato de possuírem características especiais de funcionamento. Considerando o motor síncrono de 7360 W, 380 V, 60 Hz, 6 polos, é correto afirmar que sua velocidade síncrona será da ordem de
Provas
As instalações elétricas de baixa tensão também devem ser aterradas. O aterramento consiste na ligação do sistema e/ou dos equipamentos à terra, através de um componente condutor para que seja possível o escoamento de cargas de fuga do sistema. Dessa maneira, os profissionais ficam protegidos contra choques elétricos acidentais oriundos de falhas ou condições diferentes das normais de trabalho. São esquemas de aterramento básicos:
Provas
Caderno Container