Foram encontradas 1.791 questões.

O circuito acima, constituído de componentes eletrônicos analógicos como diodos e capacitores, todos ideais, é alimentado por uma fonte senoidal, cuja tensão, em volts, é e(t)=Emsen( ωt). Em relação ao funcionamento desse circuito, julgue os itens subsequentes.
Provas
Questão presente nas seguintes provas
Com base na teoria de controle, julgue o item a seguir.
Considerando que H( s ) e G( s ) são funções de transferência no domínio da transformada de Laplace, então a função de transferência 
Provas
Questão presente nas seguintes provas
Sabendo que a transformada de Laplace bilateral de X( t ) é definida por 
julgue os itens que se seguem.
A transformada de Laplace da função x(t) = 3e-2t u (t), em que u(t) é a função degrau unitário, converge quando a parte real da variável S for maior que -2.julgue os itens que se seguem.
Provas
Questão presente nas seguintes provas
Sabendo que a transformada de Laplace bilateral de X( t ) é definida por 
julgue os itens que se seguem.
O diagrama de polos e zeros da função julgue os itens que se seguem.
Provas
Questão presente nas seguintes provas
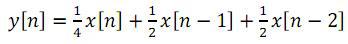
Considere que as entradas de filtros digitais sejam representadas por x[n] e que as saídas sejam representadas por y[n]. Com base nessas informações e nos conceitos relacionados a filtros digitais, julgue os itens subsequentes.
A equação Provas
Questão presente nas seguintes provas
Considere que as entradas de filtros digitais sejam representadas por x[n] e que as saídas sejam representadas por y[n]. Com base nessas informações e nos conceitos relacionados a filtros digitais, julgue os itens subsequentes.
A equação y[n] - 9y [n-1] + y[n-2] = x[n] - 8x [n-1] + 8x [n-2] corresponde a um filtro digital do tipo IIR (infinite impulse response).Provas
Questão presente nas seguintes provas
Em relação às ligas metálicas em que os principais componentes são ferro (Fe) e carbono (C), julgue os itens a seguir.
Nas ligas Fe-Fe3C predomina a estrutura cristalina do ferro com o carbono ligado nos interstícios. Considerando que a 20 ºC o raio do átomo de Fe seja igual a 0,124 nm e o de carbono, igual a 0,077 nm, e que o interstício da estrutura do ferro seja o dobro de um átomo de carbono, é correto afirmar que o parâmetro da rede cristalina da liga Fe-C é calculado pela expressão
, em que R Fe é o raio do átomo de ferro.Provas
Questão presente nas seguintes provas

A figura acima ilustra o diagrama de fases da liga Pb-Sb.
Considerando esse diagrama, julgue os itens subsequentes.

Provas
Questão presente nas seguintes provas
A respeito das propriedades dos materiais que podem ser obtidas por meio de ensaios mecânicos, julgue os itens subsecutivos.
Quando o corpo de prova de um material, de comprimento inicial L0, é submetido a um ensaio normatizado de tração, a expressão , LF - L0 / L0 . 100, em que LF é o comprimento final, indica a porcentagem da deformação elástica do material. Desse modo, a ductilidade desse material é determinada em função de sua deformação elástica.Provas
Questão presente nas seguintes provas

A evaporação de um líquido em um volume de um gás estacionário é um fenômeno de difusão do vapor no gás. Considerando o recipiente cilíndrico acima apresentado, em repouso, de altura z2, aberto à atmosfera e contendo água até um nível z1 à temperatura constante, julgue os itens a seguir.
Provas
Questão presente nas seguintes provas
Cadernos
Caderno Container