Foram encontradas 1.803 questões.
O código mostrado abaixo, escrito em linguagem Matlab, gera um sinal amostrado (senoide, com frequência de 10 Hz) à frequência de amostragem de 1.000 Hz, e filtra esse sinal com um filtro de Butterworth de segunda ordem com frequência de corte de 50 Hz.

Provas
Provas
Provas
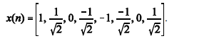
Um sinal analógico foi amostrado à frequência de 800 Hz, o que gerou a seguinte sequência:

Considerando que o critério de Nyquist tenha sido atendido nessa amostragem e que FFT e DFT correspondem, respectivamente, à transformada rápida de Fourier e à transformada discreta de Fourier, julgue os itens que se seguem.
Provas
Um sinal analógico foi amostrado à frequência de 800 Hz, o que gerou a seguinte sequência:

Considerando que o critério de Nyquist tenha sido atendido nessa amostragem e que FFT e DFT correspondem, respectivamente, à transformada rápida de Fourier e à transformada discreta de Fourier, julgue os itens que se seguem.
Provas
Um sinal analógico foi amostrado à frequência de 800 Hz, o que gerou a seguinte sequência:

Considerando que o critério de Nyquist tenha sido atendido nessa amostragem e que FFT e DFT correspondem, respectivamente, à transformada rápida de Fourier e à transformada discreta de Fourier, julgue os itens que se seguem.
Provas
Um sinal analógico foi amostrado à frequência de 800 Hz, o que gerou a seguinte sequência:

Considerando que o critério de Nyquist tenha sido atendido nessa amostragem e que FFT e DFT correspondem, respectivamente, à transformada rápida de Fourier e à transformada discreta de Fourier, julgue os itens que se seguem.
Provas
Um sinal analógico foi amostrado à frequência de 800 Hz, o que gerou a seguinte sequência:

Considerando que o critério de Nyquist tenha sido atendido nessa amostragem e que FFT e DFT correspondem, respectivamente, à transformada rápida de Fourier e à transformada discreta de Fourier, julgue os itens que se seguem.
Provas
Um sinal analógico foi amostrado à frequência de 800 Hz, o que gerou a seguinte sequência:

Considerando que o critério de Nyquist tenha sido atendido nessa amostragem e que FFT e DFT correspondem, respectivamente, à transformada rápida de Fourier e à transformada discreta de Fourier, julgue os itens que se seguem.
Provas
Provas
Caderno Container