Foram encontradas 1.803 questões.

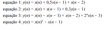
No que diz respeito às equações de diferenças mostradas acima e aos sistemas que elas representam, julgue os itens seguintes.
Provas
Questão presente nas seguintes provas
Quanto à classificação de sinais e aos sistemas discretos, julgue o item
abaixo.
Os sinais digitais são definidos apenas em valores discretos do
tempo, os quais são usualmente múltiplos de uma quantidade
básica denominada período de amostragem. As amplitudes das
amostras desse tipo de sinal podem assumir quaisquer valores,
desde que sejam números reais.Provas
Questão presente nas seguintes provas
Considerando as reações envolvidas no processo bioquímico de
síntese da acetilcoenzima A (acetil-CoA) e no ciclo do ácido cítrico,
julgue os itens subsequentes.
As reações químicas do ciclo do ácido cítrico são reguladas
pelo ATP produzido nesse ciclo.Provas
Questão presente nas seguintes provas
Considerando as reações envolvidas no processo bioquímico de
síntese da acetilcoenzima A (acetil-CoA) e no ciclo do ácido cítrico,
julgue os itens subsequentes.
Em medidas espectrofotométricas, a redução de NAD a NADH
pode ser utilizada como indicador de atividade no processo de
oxidação da acetil-CoA.Provas
Questão presente nas seguintes provas
Considerando as reações envolvidas no processo bioquímico de
síntese da acetilcoenzima A (acetil-CoA) e no ciclo do ácido cítrico,
julgue os itens subsequentes.
A concentração de coenzima-A necessária para o
funcionamento de reações químicas envolvidas na síntese de
acetil-CoA é baixa, não sendo necessário que coenzima-A seja
fornecida constantemente, uma vez que essa molécula é
reaproveitada.Provas
Questão presente nas seguintes provas
Considerando as reações envolvidas no processo bioquímico de
síntese da acetilcoenzima A (acetil-CoA) e no ciclo do ácido cítrico,
julgue os itens subsequentes.
A avaliação das reações de síntese de acetil-CoA é realizada
por meio do monitoramento de alterações do pH.Provas
Questão presente nas seguintes provas
Considerando as reações envolvidas no processo bioquímico de
síntese da acetilcoenzima A (acetil-CoA) e no ciclo do ácido cítrico,
julgue os itens subsequentes.
A aplicação dos componentes do ciclo do ácido cítrico a um
sistema capaz de reter proteínas seria capaz de separar as
enzimas dos demais metabólitos.Provas
Questão presente nas seguintes provas
Acerca dos diferentes métodos para avaliação da atividade
enzimática e de algumas unidades de medida neles empregadas,
julgue os itens que se seguem.
Na dosagem de enzimas e na dosagem de alguns produtos ou
substratos realizadas em um espectrofluorímetro, o
comprimento de onda em que se realiza a leitura deve ser igual
ao comprimento de onda de excitação do fluoróforo.Provas
Questão presente nas seguintes provas
Acerca dos diferentes métodos para avaliação da atividade
enzimática e de algumas unidades de medida neles empregadas,
julgue os itens que se seguem.
A unidade internacional (IU) de medida de atividade
enzimática corresponde à quantidade de enzima capaz de
converter 1 micromol de substrato por minuto.Provas
Questão presente nas seguintes provas
Acerca dos diferentes métodos para avaliação da atividade
enzimática e de algumas unidades de medida neles empregadas,
julgue os itens que se seguem.
Ao se planejar um ensaio de atividade enzimática, na maioria
dos casos, a concentração de enzima utilizada deverá ser a
maior possível, preferencialmente maior que a concentração de
substrato.Provas
Questão presente nas seguintes provas
Cadernos
Caderno Container