Magna Concursos

Foram encontradas 1.803 questões.

584555 Ano: 2014
Disciplina: Engenharia de Automação
Banca: CESPE / CEBRASPE
Orgão: INPI
Considerando a equação de diferenças y(n) = x(n) - x(n - 2) - 0,8y(n - 2), usada na implementação de um filtro digital para filtragem de um sinal amostrado à frequência de 2.000 amostras por segundo, julgue os itens a seguir.
O diagrama de polos e zeros do sistema representado pela referida equação possui dois polos complexos e dois zeros reais.
 

Provas

Questão presente nas seguintes provas
584554 Ano: 2014
Disciplina: Engenharia de Automação
Banca: CESPE / CEBRASPE
Orgão: INPI
Considerando a equação de diferenças y(n) = x(n) - x(n - 2) - 0,8y(n - 2), usada na implementação de um filtro digital para filtragem de um sinal amostrado à frequência de 2.000 amostras por segundo, julgue os itens a seguir.
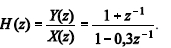
A função de transferência de um sistema representado pela equação acima é dada por Enunciado 584554-1
 

Provas

Questão presente nas seguintes provas
584553 Ano: 2014
Disciplina: Engenharia de Telecomunicações
Banca: CESPE / CEBRASPE
Orgão: INPI
Considerando a equação de diferenças y(n) = x(n) - x(n - 2) - 0,8y(n - 2), usada na implementação de um filtro digital para filtragem de um sinal amostrado à frequência de 2.000 amostras por segundo, julgue os itens a seguir.
O ângulo de fase de H(z) na frequência de 250 Hz é igual a π radianos.
 

Provas

Questão presente nas seguintes provas
584552 Ano: 2014
Disciplina: Engenharia de Telecomunicações
Banca: CESPE / CEBRASPE
Orgão: INPI
Considerando a equação de diferenças y(n) = x(n) - x(n - 2) - 0,8y(n - 2), usada na implementação de um filtro digital para filtragem de um sinal amostrado à frequência de 2.000 amostras por segundo, julgue os itens a seguir.
O sistema representado pela equação é um filtro passa-baixas e o valor máximo do módulo da função de transferência do sistema ocorre na frequência 250 Hz.
 

Provas

Questão presente nas seguintes provas
584551 Ano: 2014
Disciplina: Engenharia de Automação
Banca: CESPE / CEBRASPE
Orgão: INPI

Enunciado 584551-1

No que diz respeito às equações de diferenças mostradas acima e aos sistemas que elas representam, julgue os itens seguintes.

A equação 2 representa um sistema do tipo IIR (infinite impulse response).
 

Provas

Questão presente nas seguintes provas
584550 Ano: 2014
Disciplina: Engenharia de Automação
Banca: CESPE / CEBRASPE
Orgão: INPI

Enunciado 584550-1

No que diz respeito às equações de diferenças mostradas acima e aos sistemas que elas representam, julgue os itens seguintes.

Um sistema representado pela equação 1 é do tipo FIR (finite impulse response).
 

Provas

Questão presente nas seguintes provas
584549 Ano: 2014
Disciplina: Engenharia Elétrica
Banca: CESPE / CEBRASPE
Orgão: INPI

Enunciado 584549-1

No que diz respeito às equações de diferenças mostradas acima e aos sistemas que elas representam, julgue os itens seguintes.

As quatro primeiras amostras da resposta ao impulso unitário do sistema representado pela equação 1 têm amplitudes iguais a 2,5.
 

Provas

Questão presente nas seguintes provas
584548 Ano: 2014
Disciplina: Engenharia de Automação
Banca: CESPE / CEBRASPE
Orgão: INPI

Enunciado 584548-1

No que diz respeito às equações de diferenças mostradas acima e aos sistemas que elas representam, julgue os itens seguintes.

O sistema representado pela equação 2 é estável.
 

Provas

Questão presente nas seguintes provas
584547 Ano: 2014
Disciplina: Engenharia de Automação
Banca: CESPE / CEBRASPE
Orgão: INPI

Enunciado 584547-1

No que diz respeito às equações de diferenças mostradas acima e aos sistemas que elas representam, julgue os itens seguintes.

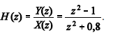
A função de transferência do sistema representado pela equação 2 é dada por Enunciado 584547-2
 

Provas

Questão presente nas seguintes provas
584546 Ano: 2014
Disciplina: Engenharia de Automação
Banca: CESPE / CEBRASPE
Orgão: INPI

Enunciado 584546-1

No que diz respeito às equações de diferenças mostradas acima e aos sistemas que elas representam, julgue os itens seguintes.

A equação 4 representa um sistema não linear.
 

Provas

Questão presente nas seguintes provas