Foram encontradas 1.803 questões.
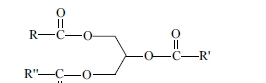
Em um pedido de registro de patente referente a um catalisador ácido heterogêneo para a reação de transesterificação de óleos e gorduras vegetais visando à produção de biodísel, os autores informam que o catalisador proposto aumenta em 24.000 vezes a constante de velocidade da reação. No pedido, os autores representam as moléculas de triglicerídeos, principais componentes de óleos e gorduras vegetais, ilustradas na figura abaixo, em que R, R' e R" correspondem a longas cadeias hidrocarbônicas que podem conter ou não duplas ligações. Um exemplo típico de molécula de triglicerídeo consiste no 1-estearoil-2-oleil-3-linoleilglicerol, em que R, R' e R" correspondem a cadeias com 17 átomos de carbono que contêm, respectivamente, nenhuma insaturação, uma ligação dupla e duas ligações duplas.

A partir da situação hipotética apresentada, julgue os itens de 116 a 120, considerando que o emprego do catalisador não modifica o fator pré-exponencial da equação de Arrhenius, que a constante universal dos gases seja igual a 8 J.mol-1.K-1 e que 10 seja o valor para ln 24.000.
Provas
Em um pedido de registro de patente referente a um catalisador ácido heterogêneo para a reação de transesterificação de óleos e gorduras vegetais visando à produção de biodísel, os autores informam que o catalisador proposto aumenta em 24.000 vezes a constante de velocidade da reação. No pedido, os autores representam as moléculas de triglicerídeos, principais componentes de óleos e gorduras vegetais, ilustradas na figura abaixo, em que R, R' e R" correspondem a longas cadeias hidrocarbônicas que podem conter ou não duplas ligações. Um exemplo típico de molécula de triglicerídeo consiste no 1-estearoil-2-oleil-3-linoleilglicerol, em que R, R' e R" correspondem a cadeias com 17 átomos de carbono que contêm, respectivamente, nenhuma insaturação, uma ligação dupla e duas ligações duplas.

A partir da situação hipotética apresentada, julgue os itens de 116 a 120, considerando que o emprego do catalisador não modifica o fator pré-exponencial da equação de Arrhenius, que a constante universal dos gases seja igual a 8 J.mol-1.K-1 e que 10 seja o valor para ln 24.000.

As moléculas de triglicerídeos são ésteres de ácidos carboxílicos.
Provas
Em um pedido de registro de patente referente a um catalisador ácido heterogêneo para a reação de transesterificação de óleos e gorduras vegetais visando à produção de biodísel, os autores informam que o catalisador proposto aumenta em 24.000 vezes a constante de velocidade da reação. No pedido, os autores representam as moléculas de triglicerídeos, principais componentes de óleos e gorduras vegetais, ilustradas na figura abaixo, em que R, R' e R" correspondem a longas cadeias hidrocarbônicas que podem conter ou não duplas ligações. Um exemplo típico de molécula de triglicerídeo consiste no 1-estearoil-2-oleil-3-linoleilglicerol, em que R, R' e R" correspondem a cadeias com 17 átomos de carbono que contêm, respectivamente, nenhuma insaturação, uma ligação dupla e duas ligações duplas.

A partir da situação hipotética apresentada, julgue os itens de 116 a 120, considerando que o emprego do catalisador não modifica o fator pré-exponencial da equação de Arrhenius, que a constante universal dos gases seja igual a 8 J.mol-1.K-1 e que 10 seja o valor para ln 24.000.
Provas
Em um pedido de registro de patente referente a um catalisador ácido heterogêneo para a reação de transesterificação de óleos e gorduras vegetais visando à produção de biodísel, os autores informam que o catalisador proposto aumenta em 24.000 vezes a constante de velocidade da reação. No pedido, os autores representam as moléculas de triglicerídeos, principais componentes de óleos e gorduras vegetais, ilustradas na figura abaixo, em que R, R' e R" correspondem a longas cadeias hidrocarbônicas que podem conter ou não duplas ligações. Um exemplo típico de molécula de triglicerídeo consiste no 1-estearoil-2-oleil-3-linoleilglicerol, em que R, R' e R" correspondem a cadeias com 17 átomos de carbono que contêm, respectivamente, nenhuma insaturação, uma ligação dupla e duas ligações duplas.

A partir da situação hipotética apresentada, julgue os itens de 116 a 120, considerando que o emprego do catalisador não modifica o fator pré-exponencial da equação de Arrhenius, que a constante universal dos gases seja igual a 8 J.mol-1.K-1 e que 10 seja o valor para ln 24.000.
Provas
Em um pedido de registro de patente referente a um catalisador ácido heterogêneo para a reação de transesterificação de óleos e gorduras vegetais visando à produção de biodísel, os autores informam que o catalisador proposto aumenta em 24.000 vezes a constante de velocidade da reação. No pedido, os autores representam as moléculas de triglicerídeos, principais componentes de óleos e gorduras vegetais, ilustradas na figura abaixo, em que R, R' e R" correspondem a longas cadeias hidrocarbônicas que podem conter ou não duplas ligações. Um exemplo típico de molécula de triglicerídeo consiste no 1-estearoil-2-oleil-3-linoleilglicerol, em que R, R' e R" correspondem a cadeias com 17 átomos de carbono que contêm, respectivamente, nenhuma insaturação, uma ligação dupla e duas ligações duplas.

A partir da situação hipotética apresentada, julgue os itens de 116 a 120, considerando que o emprego do catalisador não modifica o fator pré-exponencial da equação de Arrhenius, que a constante universal dos gases seja igual a 8 J.mol-1.K-1 e que 10 seja o valor para ln 24.000.
Provas
Um inventor patenteou uma garrafa térmica de alta eficiência em que o princípio de funcionamento segue o modelo convencional: ela consiste de uma ampola com paredes duplas separadas entre si por um espaço sob vácuo, sendo a parede interna de material altamente refletor. O inventor construiu um protótipo da garrafa, com capacidade para 1.500 cm3, que foi parcialmente preenchido com água quente. Verificou-se que, em determinado momento, havia no interior da garrafa 1.000 mL de água a 80 ºC em equilíbrio com vapor de água e que, após determinado período, a temperatura da água contida na garrafa havia baixado para 78 ºC.
Com relação a essa situação hipotética e considerando que

Provas
Um inventor patenteou uma garrafa térmica de alta eficiência em que o princípio de funcionamento segue o modelo convencional: ela consiste de uma ampola com paredes duplas separadas entre si por um espaço sob vácuo, sendo a parede interna de material altamente refletor. O inventor construiu um protótipo da garrafa, com capacidade para 1.500 cm3, que foi parcialmente preenchido com água quente. Verificou-se que, em determinado momento, havia no interior da garrafa 1.000 mL de água a 80 ºC em equilíbrio com vapor de água e que, após determinado período, a temperatura da água contida na garrafa havia baixado para 78 ºC.
Com relação a essa situação hipotética e considerando que

Provas
Um inventor patenteou uma garrafa térmica de alta eficiência em que o princípio de funcionamento segue o modelo convencional: ela consiste de uma ampola com paredes duplas separadas entre si por um espaço sob vácuo, sendo a parede interna de material altamente refletor. O inventor construiu um protótipo da garrafa, com capacidade para 1.500 cm3, que foi parcialmente preenchido com água quente. Verificou-se que, em determinado momento, havia no interior da garrafa 1.000 mL de água a 80 ºC em equilíbrio com vapor de água e que, após determinado período, a temperatura da água contida na garrafa havia baixado para 78 ºC.
Com relação a essa situação hipotética e considerando que

Provas
Um inventor patenteou uma garrafa térmica de alta eficiência em que o princípio de funcionamento segue o modelo convencional: ela consiste de uma ampola com paredes duplas separadas entre si por um espaço sob vácuo, sendo a parede interna de material altamente refletor. O inventor construiu um protótipo da garrafa, com capacidade para 1.500 cm3, que foi parcialmente preenchido com água quente. Verificou-se que, em determinado momento, havia no interior da garrafa 1.000 mL de água a 80 ºC em equilíbrio com vapor de água e que, após determinado período, a temperatura da água contida na garrafa havia baixado para 78 ºC.
Com relação a essa situação hipotética e considerando que

Provas
O termo nafta é empregado na indústria petrolífera para designar, genericamente, frações leves do petróleo. A depender da operação que as originaram, as naftas podem apresentar composições bastante distintas. Por exemplo, existem naftas com baixo teor de aromáticos e naftas predominantemente aromáticas. Pesquisadores patentearam um processo em que, por meio da extração líquido-líquido com solventes especiais, é propiciada uma melhora na efetividade de remoção de aromáticos a partir de naftas com elevado teor desses compostos. Na figura abaixo, são apresentadas as estruturas do tolueno, do m-xileno e do cumeno, alguns dos principais compostos aromáticos usualmente encontrados na nafta.

A respeito desse assunto e das moléculas apresentadas na figura, julgue os itens que se seguem.
Provas
Caderno Container