Foram encontradas 50 questões.
A etapa de ionização na espectrometria de massas é aquela com o maior número de diferentes estratégias, justificada pela grande variedade de tipos de amostras e espécies de interesse. Uma vez gerados os íons, os processos de separação e detecção podem ser escolhidos de acordo com características mais ou menos comuns, como sensibilidade, resolução, precisão da relação m/z e custo. A figura apresenta os espectros de massas obtidos na análise do metabólito C12H15NO. Observe.

(Westphal et al. Espectros de massas por EI (ionização por elétrons) e CI (ionização química), respectivamente, do metabólito C12H15NO. 2012. – Com adaptações.)
Comparando os espectros obtidos pelas fontes de ionização EI e CI, é INCORRETO afirmar que
Provas
O método de cromatografia gasosa acoplada à espectrometria de massas (GC-MS) é uma poderosa ferramenta analítica aplicada a uma variedade de amostras. A figura apresenta os cromatogramas obtidos para a determinação de éter 2,4,4'-tricloro-2'-hidroxidifenílico (triclosan) em sedimentos marinhos. O espectrômetro de massas foi utilizado nos modos Full Scan e SIM.

(Aguera et al. Cromatogramas do GC-MS de um extrato de sedimento marinho enriquecido (1 μg/kg de triclosan) obtido sob ionização por elétrons (EI) Full Scan, SIM e ionização química negativa (NCI) SIM. 2003.)
Sobre os modos de aquisição dos dados, é correto afirmar que no
Provas
“Para desenvolver um método de análise de proteínas presente em amostras de peixes, utilizando a espectrometria de massas, é necessário estudar diversas metodologias, empregando diferentes tipos de ionização, como Electrospray (ESI), nano-ESI e Ionização e Dessorção a Laser Assistida por Matriz (MALDI).” Sobre esses três tipos de ionização, é INCORRETO afirmar que no
Provas
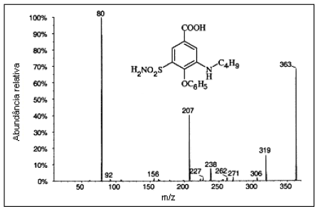
Para a elucidação da estrutura de compostos orgânicos, aplica-se a espectrometria de massas. Analise a figura que apresenta o espectro de massas do bumetanida.

(Thevis et al. Espectro de massas da bumetanida (m/z = 363) produzido por ESI . 2003. – Com adaptações.)
Sobre o espectro representado, é INCORRETO afirmar que o(a)
Provas
Assim que os íons são produzidos, estes são separados de acordo com sua massa para serem então determinados. A propriedade física dos íons medida pelo analisador de massa é a relação massa-carga (m/z), ao invés de somente massa. Relacionando os tipos de analisadores de massas existentes e os respectivos princípios de separação, é correto afirmar que o
Provas
As curvas de calibração são normalmente utilizadas para determinar a relação entre o sinal e a concentração em uma análise química. Nos casos em que a curva de calibração é inadequada ou não confiável, pode-se utilizar a adição de padrão ou padrões internos. No método de adição de padrão a(s)
Provas
Existem diversos métodos para análise dos resíduos de agrotóxicos empregando electrospray (ESI) ou ionização química à pressão atmosférica (APCI) como fonte de ionização. De acordo com tais informações, observa-se que, durante o desenvolvimento de um novo método para a determinação de resíduos de agrotóxicos por cromatografia líquida acoplada à espectrometria de massas (LC-MS), não há protocolo definido a ser seguido para a escolha da fonte de ionização. Em relação à fase móvel utilizada pela técnica LC-MS por ionização ESI ou APCI, os agrotóxicos, que geralmente apresentam um melhor sinal analítico, são os
Provas
Na espectrometria de massas todos os íons são separados, de acordo com a razão massa-carga (m/z), para serem detectados em proporção de abundância e um espectro de massas é produzido. A figura apresenta o espectro de massas obtido na análise do zingibereno (C15H24).

(Mata et al. Espectro de massas e possíveis fragmentos do zingibereno. 2004.)
A partir da análise do espectro, é correto afirmar que o
Provas
Há três diferentes tipos de padronização para a construção da curva de calibração: externa, interna e adição de padrão. Depende do tipo de análise e do tratamento utilizado para a amostra. O método de padronização escolhido deve fornecer a melhor exatidão possível, além de um alto nível de precisão. Portanto, é INCORRETO afirmar que a padronização
Provas
“Em geral, as técnicas mais utilizadas nos métodos de screening são as cromatografias líquida de alta eficiência (CLAE), a gasosa (CG) e a eletroforese capilar (EC). Podem ser utilizadas de forma independente ou hifenado com outras técnicas, dentre as quais se destaca a espectrometria de massas (EM). Recentemente, alguns métodos foram desenvolvidos utilizando-se a espectrometria de massas de maneira isolada.” Sobre estas técnicas utilizadas para o screening, é INCORRETO afirmar que
Provas
Caderno Container