Foram encontradas 50 questões.
Coloque F (falso) ou V (verdadeiro), nas afirmativas abaixo, em relação aos requisitos que uma substância deve ter para ser um padrão primário, assinalando, a seguir, a opção correta.
( ) Deve ser fácil de obter, purificar, secar e preservar em estado puro.
( ) A substância pode ser higroscópica, desde que esteja seca no preparo da solução padrão.
( ) A quantidade total de impurezas não deve exceder 0,01-0,02%.
( ) A substância deve ser solúvel nas condições de trabalho, tolerando-se, contudo, pequena insolubilidade, desde que seja filtrada antes do uso.
Provas
Considere uma solução concentrada do ácido fraco HA, que se encontra principalmente não dissociado. Ao diluirmos esta solução, a dissociação do ácido aumenta. A solução diluída de HA é atravessada por uma radiação monocromática. Pode-se dizer que a solução obedece a lei de Beer? Por quê?
Provas
Uma solução 3,96 x 10-4 M de um composto A apresentou uma absorbância de 0,624 em 238nm numa cubeta de 1,000 cm de caminho ótico; uma solução em branco, contendo apenas o solvente, apresentou uma absorbância de 0,029 no mesmo comprimento de onda. Qual a absortividade molar (\( \varepsilon \)) do composto A?
Provas
A espectrofotometria no infravermelho é particularmente importante na identificação de um composto covalente, pois
Provas
Uma amostra de carvão foi adquirida como sendo um material de referência, certificado NIST do EUA contendo 3,19%pp de enxofre. Os valores medidos foram 3,29, 3,22, 3,30 e 3,23%pp de enxofre, dando uma média de x= 3,26 e um desvio-padrão de s = 0,041. Esta resposta é diferente do valor fornecido pelo NIST? Por que?
Provas
Adiciona-se a uma solução aquosa 0,1 M de ácido acético uma solução 0,1 M de acetato de sódio. Qual o valor do grau de ionização (\( \alpha \)') da solução de ácido acético após a adição do sal?
Dado: Ka (ácido acético) = 1,8 x 10-5
Provas
Quantos mililitros de KOH 0,800 M devem ser adicionados a 3,38 g de ácido oxálico (H2C2O4, PM=90,035) para se ter uma solução com pH igual a 2,40, quando diluída a 500ml?
Dados:
pK1= 1,252
pK2= 4,266
Provas
Observe a tabela.
| Amostra A |
Amostra B |
|
|
Fórmula molecular |
C2H6O |
C2H6O |
|
Massa molar (g/mol) |
46 | 46 |
|
Ponto de fusão (ºC) |
-117 | -138 |
|
Interação com Na0 (sódio metálico) |
ocorre transformação | não ocorre transformação |
Considerando os dados obtidos a partir das amostras distintas A e B, é correto afirmar que
Provas
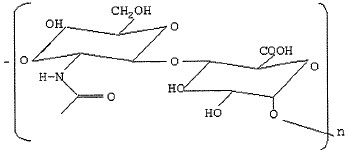
Observe a cadeia.

Na estrutura do ácido hialurônico, representado acima, estão presentes as funções orgânicas:
Provas
Consultando a tabela periódica, é possível prever que os elementos mais eletronegativos são os de menor
Provas
Caderno Container