Foram encontradas 750 questões.
- ECAGeralDireitos Fundamentais (art. 7º ao 69)Do Direito à Profissionalização e à Proteção no Trabalho (Art. 60 a 69)
Analise as afirmativas abaixo, com base nas considerações de Maria Cristina Leal (2004), sobre o Estatuto da Criança e do Adolescente e sobre a Lei de Diretrizes e Bases da Educação.
I - O Estatuto da Criança e do Adolescente (ECA), lei federal nº 8.079, de 13 de julho de 1990, pode ser considerado um dos desdobramentos mais importantes da Constituição de 1988.
II - O ECA regulamentou conquistas presentes na Constituição. A implantação desse estatuto se deu de forma rápida e ele está promovendo uma revolução nas áreas jurídica, social e política.
III- Com o ECA, crianças e adolescentes passaram a ser vistos como sujeitos em situação peculiar de desenvolvimento e como pessoas portadoras de direitos.
IV - Ao adolescente empregado, é vedado o trabalho noturno, realizado entre 22 horas e 6 horas do dia seguinte, exceto na condição de aprendiz.
V - O ECA afirma que, para o pleno desenvolvimento da criança e do adolescente, é necessária uma educação que garanta o exercício da cidadania e da qualificação para o trabalho.
Assinale a opção correta.
Provas
Classifique os meios abaixo em Meio de Comunicação de Massa (M) ou Meio de Comunicação Empresarial (E) e assinale a opção que apresenta a sequência correta.
( ) Rádio.
( ) Fôlder.
( )HOUSE ORGAN.
( ) Jornal.
( ) Cinema.
Provas
Analise a figura abaixo.

A figura acima representa um capacitor de placas planas e paralelas, onde uma lâmina de material condutor foi introduzida entre suas placas. Considere que o capacitor antes da introdução da lâmina já estava carregado e que esta carga é mantida. Durante a introdução da lâmina é correto afirmar que
Provas
Determine a equação de uma reta que passa pelo ponto (6,3), e que é paralela à reta 12x + 6y = 18, e assinale a opção correta.
Provas
Se f e g são funções reais, de variáveis reais e !$ f(x) = g(x + g(x)) !$, então !$ f^{ \prime}(x) !$é igual a:
Provas
Para efeito do Decreto nº 2596, de 18 de maio de 1998, RLESTA, o autor material de uma infração poderá ser o
Provas
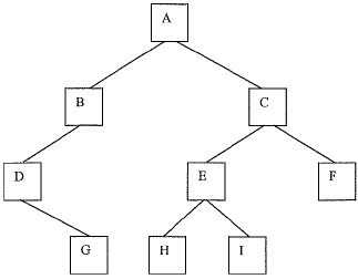
Analise a árvore binária a seguir.

Considerando os. percursos apresentados em Szwarcifiter e Markenzon (2010), assinale a opção que apresenta o percurso da árvore binária acima em ordem simétrica.
Provas
Segundo Dornbusch et al. (2009), qual é a diferença entre o desemprego cíclico e o friccional?
Provas
Um corpo, em movimento retilíneo, parte do repouso com uma aceleração expressa, em função da velocidade, por a(v) = 4 - 2v com a em m/s2 e vem m/s. Sendo assim, qual é a expressão para a velocidade em função do tempo?
Provas
Assinale a opção que apresenta o pensador que marcou o pensamento antiautoritário, afirmando que o meio vital e primordial da criança é o meio social e que a considerava como ser social e com personalidade em desenvolvimento.
Provas
Caderno Container