Foram encontradas 50 questões.
Observe a figura a seguir

Calcule a função de transferência relacionada a C(S) e R(S), com base na figura acima, assinale a opção correta.
Provas
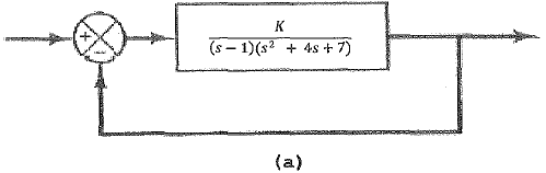
Analise as figuras a seguir.


A figura (b) representa o lugar das raízes do sistema da figura (a). Determine os valores de K para os quais o sistema é estável e assinale a opção correta.
Provas
Considere o sistema representado no espaço de estados pelas seguintes equações.
\( \begin{bmatrix} x_1 \\ x_2 \end{bmatrix} = \begin{bmatrix} -4 & 0 \\ 1 & -1 \end{bmatrix} \begin{bmatrix} x_1 \\ x_2 \end{bmatrix} + \begin{bmatrix} 1 \\ 1 \end{bmatrix} u \)
\( y = \begin{bmatrix} 1 & 0 \end{bmatrix} \begin{bmatrix} x_1 \\ x_2 \end{bmatrix} \)
Determine a função de transferência desse sistema, e, assinale a opção correta.
Provas
Considere a seguinte representação no espaço de estados de um sistema de tempo contínuo.
\( \begin{bmatrix} x_1 \\ x_2 \end{bmatrix} = \begin{bmatrix} 1 & 1 \\ k & -1 \end{bmatrix} \begin{bmatrix} x_1 \\ x_2 \end{bmatrix} + \begin{bmatrix} 1 \\ 0 \end{bmatrix} \begin{bmatrix} \mu \end{bmatrix} \)
Determine o valor de K, para que o sistema NÃO seja de estado completamente controlável, e assinale a opção correta,
Provas
Os números a = 00011 e b = 11001 são números binários com sinal no sistema de complemento a 2. Calcule a soma desses dois números, a+b e, assinale a opção que apresenta o resultado no sistema de numeração decimal.
Provas
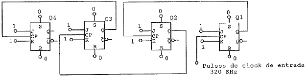
Considere um circuito digital que possui quatro Flip-Flops JK (Q4, Q3, Q2 e Ql), conforme o diagrama abaixo.

Onde:
S =PRESET
R= CLEAR
CP= CLOCK
Sabendo que pulsos de Clock de 320 KHz são aplicados no FlipFlop Q1, determine a frequência do sinal de saída (Q) do FlipFlop Q4 e assinale a opção correta.
Provas
Observe a figura a seguir.

Determine as condições de entrada necessárias para que, no circuito acima, X seja igual a zero (X = 0), e assinale a opção correta.
Provas
Encontre os valores absolutos máximo e mínimo, respectivamente, da função \( F(x) = x^3 - 3x^2 +2 \ \ \ \ \ \ \ - \dfrac{2}{1} \) < x < 4 e assinale a opção correta.
Provas
Calcule a integral definida \( \int \limits_0 ^{\dfrac{\pi}{2}} sen(3x) cos(x) dx \) e assinale a opção correta.
Dados: sen(a) cos(b) = \( \dfrac{sen(a+b) + sen (a - b)}{2} \)
Provas
Analise o gráfico a seguir.

Sabendo que, por um determinado dispositivo eletrônico, passa uma corrente constante de lmA, em qualquer temperatura, e que esse mesmo dispositivo obedece ao gráfico acima, assinale a opção correta.
Provas
Caderno Container