Foram encontradas 50 questões.
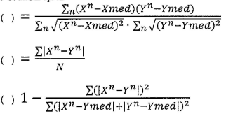
Sobre validação dos resultados dé modelos utilizados em oceanografia, correlacione a denominação à sua formulação e assinale a opção que apresenta a sequência correta.
DENOMINAÇÃO
I- Erro absoluto médio.
II- Erro absoluto médio relativo à média.
lll- Coeficiente de correlação linear.
IV- Skill
FORMULAÇÃO

Dados: Xn = resultados de um modelo; Yn = observações e med = média.
Provas
Com relação à impedância acústica da água do mar, assinale a opção INCORRETA.
Provas
Qual é, em km, o raio de deformação de Rossby (L) para uma onda de Kelvin na termoclina em 30º S?
Dados: c=1,5 m/s e Ω = 7,29x 10-5 S-1.
Provas
Quais são os principais componentes, além da água pura, que influenciam as propriedades ópticas de corpos d'água naturais?
Provas
Qual é a propriedade cujo cálculo depende da latitude e da longitude?
Provas
Correlacione o tipo do sensor com q parâmetro derivado e assinale, a seguir, a opção que apresenta a sequência correta.
TIPO DE SENSOR
|- Radiômetros multiespectrais
Il- Radiômetros infravermelhos especirômetros
HI- Radiômetros de micro-ondas passivos
IV- Radares imageadores, radares altimetros, escaterômetros
PARÂMETRO DERIVADO
( ) Concentração de clorofila, concentração de material em suspensão, turbidez da água, batimetria.
( ) Temperatura de pele da superfície do mar.
( ) Temperatura de sub-pele e salinidade da superficie do mar, chuva, conteúdo de vapor d'água na atmosfera.
() Altura dinâmica, corrente geostrófica, geóide oceânico, batimetria, velocidade e direção do vento, altura de ondas, óleo no mar.
Provas
Examine a figura abaixo.

Na figura acima estã representado um perfil vertical de temperatura, idealizado para uma região de plataforma continental onde pode ocorrer uma inversão térmica nos primeiros 30 metros da coluna d'água, Com base nessa figura, assinale a opção que apresenta corretamente a razão entre os coeficientes angulares das retas de ajuste | e Il da temperatura em função da profundidade (T = T(z)).
Provas
Com relação aos conceitos básicos em modelagem numérica, assinale a opção INCORRETA.
Provas
Sobre o gradeamento em modelos hidrodinâmicos bidimensionais (2D) utilizados em oceanografia, assinale a opção que apresenta o tipo de grade que corresponde a uma alternativa ao método de aninhamento de grades.
Provas
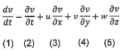
Considere os termos enumerados em ordem crescente, da esquerda para direita (1, 2, 3,4 e 5) da equação abaixo.

Analise as seguintes afirmativas referentes à equação apresentada acima e assinale a opção correta.
I - No estado estacionário, o termo 2 é nulo.
Il - Cada um dos termos tem unidades de força por unidade de massa.
III - O termo 1 é chamado de derivada local.
IV - Os termos 3, 4 e 5 são chamados de advectivos.
Provas
Caderno Container