Magna Concursos

Foram encontradas 1.010 questões.

62037 Ano: 2006
Disciplina: Estatística
Banca: CESPE / CEBRASPE
Orgão: MDS
Provas:

Um consultor desenvolveu uma estatística X cuja função de densidade é expressa por \( f(x) = \dfrac {ab^a} {x^{a+1}} \), para x > b, e f(x) = 0, para x < b, em que a > e b > 0 são os parâmetros dessa distribuição. Para a estimação dos parâmetros a e b, o consultor observou n realizações independentes x1, x2, ..., xn dessa estatística X. Com base nessas informações, julgue o item a seguir.

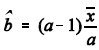
Considerando um valor fixo para \( a, a \ne 1 \), a estimativa de mínimos quadrados para o parâmetro b é Enunciado 3664704-1, em que Enunciado 3664704-2.

 

Provas

Questão presente nas seguintes provas
62036 Ano: 2006
Disciplina: Estatística
Banca: CESPE / CEBRASPE
Orgão: MDS
Provas:

Um consultor desenvolveu uma estatística X cuja função de densidade é expressa por \( f(x) = \dfrac {ab^a} {x^{a+1}} \), para x > b, e f(x) = 0, para x < b, em que a > e b > 0 são os parâmetros dessa distribuição. Para a estimação dos parâmetros a e b, o consultor observou n realizações independentes x1, x2, ..., xn dessa estatística X. Com base nessas informações, julgue o item a seguir.

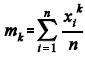
Considerando-se uma estimativa \( \hat {b} \) para o parâmetro b, o parâmetro a pode ser estimado pelo método dos momentos usando-se a equação \( \hat {a} = \dfrac {km_k} {m_k - \hat {b} ^k} \) em que Enunciado 3664703-1, para k = 1, 2, 3,...

 

Provas

Questão presente nas seguintes provas
62035 Ano: 2006
Disciplina: Estatística
Banca: CESPE / CEBRASPE
Orgão: MDS
Provas:

Um consultor desenvolveu uma estatística X cuja função de densidade é expressa por \( f(x) = \dfrac {ab^a} {x^{a+1}} \), para x > b, e f(x) = 0, para x < b, em que a > e b > 0 são os parâmetros dessa distribuição. Para a estimação dos parâmetros a e b, o consultor observou n realizações independentes x1, x2, ..., xn dessa estatística X. Com base nessas informações, julgue o item a seguir.

Para estimar o parâmetro b pelo método da máxima verossimilhança, basta ordenar crescentemente a seqüência x1, x2, ..., xn. A estimativa de máxima verossimilhança para b será o maior valor dessa seqüência.

 

Provas

Questão presente nas seguintes provas
62034 Ano: 2006
Disciplina: Estatística
Banca: CESPE / CEBRASPE
Orgão: MDS
Provas:

Um consultor desenvolveu uma estatística X cuja função de densidade é expressa por \( f(x) = \dfrac {ab^a} {x^{a+1}} \), para x > b, e f(x) = 0, para x < b, em que a > e b > 0 são os parâmetros dessa distribuição. Para a estimação dos parâmetros a e b, o consultor observou n realizações independentes x1, x2, ..., xn dessa estatística X. Com base nessas informações, julgue o item a seguir.

A probabilidade de X ser igual a \( b^{\dfrac {1} {a+1}} \) é igual a \( a \times b ^{a-1} \).

 

Provas

Questão presente nas seguintes provas
62033 Ano: 2006
Disciplina: Estatística
Banca: CESPE / CEBRASPE
Orgão: MDS
Provas:

Um consultor desenvolveu uma estatística X cuja função de densidade é expressa por \( f(x) = \dfrac {ab^a} {x^{a+1}} \), para x > b, e f(x) = 0, para x < b, em que a > e b > 0 são os parâmetros dessa distribuição. Para a estimação dos parâmetros a e b, o consultor observou n realizações independentes x1, x2, ..., xn dessa estatística X. Com base nessas informações, julgue o item a seguir.

Considerando-se X > 2b, então a probabilidade de que X > 4b é igual a 2!a.

 

Provas

Questão presente nas seguintes provas
62032 Ano: 2006
Disciplina: Estatística
Banca: CESPE / CEBRASPE
Orgão: MDS
Provas:

Um consultor desenvolveu uma estatística X cuja função de densidade é expressa por \( f(x) = \dfrac {ab^a} {x^{a+1}} \), para x > b, e f(x) = 0, para x < b, em que a > e b > 0 são os parâmetros dessa distribuição. Para a estimação dos parâmetros a e b, o consultor observou n realizações independentes x1, x2, ..., xn dessa estatística X. Com base nessas informações, julgue o item a seguir.

X é uma distribuição assimétrica em torno da média.

 

Provas

Questão presente nas seguintes provas
62031 Ano: 2006
Disciplina: Estatística
Banca: CESPE / CEBRASPE
Orgão: MDS
Provas:

Um consultor desenvolveu uma estatística X cuja função de densidade é expressa por \( f(x) = \dfrac {ab^a} {x^{a+1}} \), para x > b, e f(x) = 0, para x < b, em que a > e b > 0 são os parâmetros dessa distribuição. Para a estimação dos parâmetros a e b, o consultor observou n realizações independentes x1, x2, ..., xn dessa estatística X. Com base nessas informações, julgue o item a seguir.

X segue uma distribuição contínua.

 

Provas

Questão presente nas seguintes provas
62030 Ano: 2006
Disciplina: Estatística
Banca: CESPE / CEBRASPE
Orgão: MDS
Provas:

Um consultor desenvolveu uma estatística X cuja função de densidade é expressa por \( f(x) = \dfrac {ab^a} {x^{a+1}} \), para x > b, e f(x) = 0, para x < b, em que a > e b > 0 são os parâmetros dessa distribuição. Para a estimação dos parâmetros a e b, o consultor observou n realizações independentes x1, x2, ..., xn dessa estatística X. Com base nessas informações, julgue o item a seguir.

O primeiro quartil de X é igual a 0,25.

 

Provas

Questão presente nas seguintes provas
62029 Ano: 2006
Disciplina: Estatística
Banca: CESPE / CEBRASPE
Orgão: MDS
Provas:

Um consultor desenvolveu uma estatística X cuja função de densidade é expressa por \( f(x) = \dfrac {ab^a} {x^{a+1}} \), para x > b, e f(x) = 0, para x < b, em que a > e b > 0 são os parâmetros dessa distribuição. Para a estimação dos parâmetros a e b, o consultor observou n realizações independentes x1, x2, ..., xn dessa estatística X. Com base nessas informações, julgue o item a seguir.

A mediana de X é igual a \( 2^{\dfrac {1} {a}} \times b \).

 

Provas

Questão presente nas seguintes provas
62028 Ano: 2006
Disciplina: Estatística
Banca: CESPE / CEBRASPE
Orgão: MDS
Provas:

Um consultor desenvolveu uma estatística X cuja função de densidade é expressa por \( f(x) = \dfrac {ab^a} {x^{a+1}} \), para x > b, e f(x) = 0, para x < b, em que a > e b > 0 são os parâmetros dessa distribuição. Para a estimação dos parâmetros a e b, o consultor observou n realizações independentes x1, x2, ..., xn dessa estatística X. Com base nessas informações, julgue o item a seguir.

A moda da distribuição de X é igual a 2b.

 

Provas

Questão presente nas seguintes provas