Foram encontradas 400 questões.
Dois analistas, José e Ricardo, combinaram de se encontrar na
sala de reuniões da empresa em que trabalham às 15h30min.
O tempo de chegada de José é uma variável aleatória uniformemente distribuída entre 15h15min e 15h45min. Já o tempo
de chegada de Ricardo é uma variável aleatória uniformemente distribuída entre 15h00min e 16h00min. Considerando
que essas variáveis aleatórias são independentes, qual a probabilidade de que José chegue primeiro?
Provas
Questão presente nas seguintes provas
Considere a verificação da qualidade do ajuste de um modelo de regressão linear múltipla que assume a homocedasticidade dos erros. Dentre os testes apresentados a seguir, aquele que pode ser utilizado na análise de resíduos
para verificar a homocedasticidade é o teste de:
Provas
Questão presente nas seguintes provas
Determinado contador recebeu uma demanda com 50 contas para serem auditadas. Sabe-se que os tempos gastos para
que ele faça a auditoria em cada conta são variáveis aleatórias independentes e identicamente distribuídas com média
de 20 minutos e variância de 16 minutos2. Ao utilizar o teorema do limite central, qual a probabilidade aproximada de
que sejam gastos menos de 450 minutos para auditar 25
contas?
Observação: Φ (z) = P (Z ≤ z), onde Z ~ N (0,1).
Observação: Φ (z) = P (Z ≤ z), onde Z ~ N (0,1).
Provas
Questão presente nas seguintes provas
Os intervalos de confiança constituem uma metodologia de
estimação intervalar bastante utilizada em Estatística para
fazer inferência sobre um ou mais parâmetros de interesse.
Dois componentes são imprescindíveis na construção dos
intervalos de confiança: tamanho da amostra e nível de
confiança. Considere as seguintes situações hipotéticas na
construção de um intervalo de confiança:
• Alterar apenas o tamanho da amostra de n = 30 para n = 100;
• Alterar apenas o nível de confiança de 90% para 95%.
Nas situações citadas anteriormente, o que ocorre, respectivamente, com a amplitude do intervalo de confiança construído após as alterações?
• Alterar apenas o tamanho da amostra de n = 30 para n = 100;
• Alterar apenas o nível de confiança de 90% para 95%.
Nas situações citadas anteriormente, o que ocorre, respectivamente, com a amplitude do intervalo de confiança construído após as alterações?
Provas
Questão presente nas seguintes provas
O tempo de atendimento Y, em minutos, de um setor de processos de determinada repartição pública possui função
densidade de probabilidade acumulada dada por:
F (y) = 1 – e–λy , y > 0 e λ > 0,
em que λ é um parâmetro populacional. Qual é o tempo mediano, em minutos, de atendimento nesse setor?
F (y) = 1 – e–λy , y > 0 e λ > 0,
em que λ é um parâmetro populacional. Qual é o tempo mediano, em minutos, de atendimento nesse setor?
Provas
Questão presente nas seguintes provas
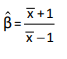
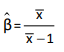
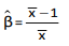
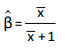
A distribuição de Pareto é uma distribuição contínua assimétrica utilizada para modelar, por exemplo, a distribuição de
renda e outras variáveis financeiras. Se uma variável aleatória contínua X possui distribuição de Pareto, então sua função
densidade de probabilidade é dada por:

em que β > 1. Se uma amostra aleatória X1, X2, X3, ..., Xn de tamanho n for observada a partir da variável X, o estimador de momentos de β, denotado por FOTO, é dado por:

em que β > 1. Se uma amostra aleatória X1, X2, X3, ..., Xn de tamanho n for observada a partir da variável X, o estimador de momentos de β, denotado por FOTO, é dado por:
Provas
Questão presente nas seguintes provas
A amostragem não probabilística seleciona um grupo de respondentes de uma população maior, tendo consciência de
que alguns membros da população não têm chance de responderem à pesquisa. Dentre um dos métodos de amostragem não probabilística, destaca-se a amostragem nomeada
como bola de neve. Sobre esse método, assinale a afirmativa
correta.
Provas
Questão presente nas seguintes provas
Para modelar a quantidade de notificações recebidas sobre a
existência de trabalho escravo em algumas regiões brasileiras, determinado analista do Ministério Público do trabalho
ajustou um modelo de regressão Poisson, considerando a função de ligação canônica. Sobre esse modelo, assinale a afirmativa INCORRETA.
Provas
Questão presente nas seguintes provas
Uma determinada empresa utiliza máquinas para cortar
tubos com a medida de 20 cm. Sabe-se, porém, que 5 máquinas estão descalibradas e precisam ir para manutenção. A fim
de não perder completamente o seu fluxo de produção, o
responsável pelo setor do maquinário decidiu que iria direcionar para a manutenção as duas máquinas que estivessem fazendo cortes mais irregulares (menos homogêneos).
Para isso, tomou as medidas de 20 cortes de cada máquina e
calculou os dados que se encontram na tabela a seguir:

Com base nos dados apresentados, quais serão as duas máquinas direcionadas para a manutenção?

Com base nos dados apresentados, quais serão as duas máquinas direcionadas para a manutenção?
Provas
Questão presente nas seguintes provas
- AmostragemTipos de AmostragemAmostragem sistemática
- AmostragemTipos de AmostragemAmostragem aleatória simples
- AmostragemTipos de AmostragemAmostragem por Estratificação
Sabemos que um estudo estatístico pode ser feito com todos
os elementos da população ou com uma parte desta população (amostra). Para que possamos usar os resultados obtidos
na amostra para fazer inferências sobre a população de interesse, precisamos garantir que a amostra seja representativa
desta população.
(FERREIRA, Valéria. Estatística Básica. Rio de Janeiro: SESES, 2015. Adaptado.)
Para obter uma amostra, pode-se utilizar diferentes técnicas de amostragem; analise-as.
I. Na amostragem aleatória simples, todos os elementos da população têm igual probabilidade de pertencer à amostra, assemelhando-se a um sorteio.
II. Na amostragem aleatória estratificada, os elementos da população são divididos em subgrupos (estratos) e é possível selecionar quantidades proporcionais de elementos de cada subgrupo.
III. Na amostragem sistemática, os elementos da população são organizados e ordenados; seleciona-se um número inicial aleatório, em seguida, os demais elementos são selecionados mantendo-se os intervalos regulares, a partir do número inicial.
Está correto o que se afirma em
(FERREIRA, Valéria. Estatística Básica. Rio de Janeiro: SESES, 2015. Adaptado.)
Para obter uma amostra, pode-se utilizar diferentes técnicas de amostragem; analise-as.
I. Na amostragem aleatória simples, todos os elementos da população têm igual probabilidade de pertencer à amostra, assemelhando-se a um sorteio.
II. Na amostragem aleatória estratificada, os elementos da população são divididos em subgrupos (estratos) e é possível selecionar quantidades proporcionais de elementos de cada subgrupo.
III. Na amostragem sistemática, os elementos da população são organizados e ordenados; seleciona-se um número inicial aleatório, em seguida, os demais elementos são selecionados mantendo-se os intervalos regulares, a partir do número inicial.
Está correto o que se afirma em
Provas
Questão presente nas seguintes provas
Cadernos
Caderno Container