Foram encontradas 445 questões.
821700
Ano: 2016
Disciplina: Estatuto da Pessoa com Deficiência - Lei 13.146/2015
Banca: VUNESP
Orgão: MPE-SP
Disciplina: Estatuto da Pessoa com Deficiência - Lei 13.146/2015
Banca: VUNESP
Orgão: MPE-SP
- Direitos Fundamentais no Estatuto da Pessoa com Deficiência
- Direito à Saúde da Pessoa com Deficiência
Quanto à realização de tratamento, procedimento, hospitalização
e pesquisa científica relacionados à pessoa
com deficiência, a Lei n° 13.146/2015 estabelece que
Provas
Questão presente nas seguintes provas
821699
Ano: 2016
Disciplina: Estatuto da Pessoa com Deficiência - Lei 13.146/2015
Banca: VUNESP
Orgão: MPE-SP
Disciplina: Estatuto da Pessoa com Deficiência - Lei 13.146/2015
Banca: VUNESP
Orgão: MPE-SP
- Direitos Fundamentais no Estatuto da Pessoa com Deficiência
- Direito à Saúde da Pessoa com Deficiência
Fulana, pessoa com deficiência, foi atendida em hospital
particular com vários hematomas em seu corpo, levando
o agente de saúde a suspeitar que ela teria sido vítima
de violência. Nessa situação, a Lei n° 13.146/2015 estabelece
que
Provas
Questão presente nas seguintes provas
A velocidade de degradação da substância A obedece a
uma expressão de primeira ordem, sendo:
CA a concentração da substância A a qualquer tempo t; CA0 a concentração da substância A no tempo inicial t0; K a constante de velocidade.
É possível calcular a concentração de A, após um determinado tempo de reação, por meio da equação:
CA a concentração da substância A a qualquer tempo t; CA0 a concentração da substância A no tempo inicial t0; K a constante de velocidade.
É possível calcular a concentração de A, após um determinado tempo de reação, por meio da equação:
Provas
Questão presente nas seguintes provas
As atuais concepções de layout das unidades (reatores)
de tratamento de esgotos sanitários, no nível secundário,
conjugam tratamentos biológicos anaeróbios e aeróbios
associados, visando à redução do custo energético e da
disposição final de lodo biológico, bem como a melhoria
no processo de tratamento na Estação de Tratamento
de Esgotos (ETE). No layout da ETE a seguir, identifique
as respectivas unidades conforme as atuais concepções
desenvolvidas para tratamento de esgoto sanitário
e assinale a alternativa correta.


Provas
Questão presente nas seguintes provas
Assinale a alternativa que se relaciona corretamente ao sentido do escoamento de água em uma tubulação circular, tendo
acoplado a ela um manômetro tipo “tubo em U”. Para isso, considere a figura e os seguintes valores na resolução: densidade
da água = 1000 kg/m3
; h = 25 cm; densidade do fluido manométrico: ρF = 13600 kg/m3
; aceleração gravitacional =
9,8 m/s2


Provas
Questão presente nas seguintes provas
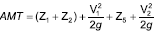
Considere o esquema de sistema de bombeamento da figura a seguir.
O diâmetro do sistema antes da bomba é D1 , com velocidade de escoamento V1 e, após a bomba, é D2 , com velocidade de escoamento V2 . A pressão do fluido no plano horizontal de referência, PHR, no interior do tubo é P1 e, na saída do sistema, é a pressão atmosférica local, Patm. Considere desprezível a variação da pressão atmosférica para a diferença de altitude comtemplada nesse esquema. O fluido é a água, a temperatura de todo o sistema é T e seu peso específico é γ. Os comprimentos de cada trecho são indicados por Zi , ou seja, o comprimento do trecho 1 é Z1 , do trecho 2 é Z2 , e assim sucessivamente. A altura manométrica total, AMT, aplicada ao sistema para o cálculo de bombeamento, desprezando-se as perdas de carga, é dada pela expressão:
O diâmetro do sistema antes da bomba é D1 , com velocidade de escoamento V1 e, após a bomba, é D2 , com velocidade de escoamento V2 . A pressão do fluido no plano horizontal de referência, PHR, no interior do tubo é P1 e, na saída do sistema, é a pressão atmosférica local, Patm. Considere desprezível a variação da pressão atmosférica para a diferença de altitude comtemplada nesse esquema. O fluido é a água, a temperatura de todo o sistema é T e seu peso específico é γ. Os comprimentos de cada trecho são indicados por Zi , ou seja, o comprimento do trecho 1 é Z1 , do trecho 2 é Z2 , e assim sucessivamente. A altura manométrica total, AMT, aplicada ao sistema para o cálculo de bombeamento, desprezando-se as perdas de carga, é dada pela expressão:
Provas
Questão presente nas seguintes provas
A expressão de grau de cobertura de um catalisador foi
dada como:
sendo:
KA – Constante. PA – Pressão parcial do componente A. θC – Grau de cobertura.
Portando, a expressão da derivada
é dada por:
sendo: KA – Constante. PA – Pressão parcial do componente A. θC – Grau de cobertura.
Portando, a expressão da derivada
é dada por:Provas
Questão presente nas seguintes provas
O fluxograma a seguir representa um processo de tratamento de esgoto sanitário. Durante esse processo, o esgoto bruto
passa por três etapas de transformação, que têm a finalidade de diminuir seu potencial poluidor até valores adequados
para ser lançado no corpo d’água.
Fluxograma de uma estação de tratamento de esgoto
Com relação ao processo esquematizado na figura, assinale a alternativa correta.
Fluxograma de uma estação de tratamento de esgoto
Com relação ao processo esquematizado na figura, assinale a alternativa correta.
Provas
Questão presente nas seguintes provas
A destilação é uma operação unitária que tem por objetivo separar os constituintes de uma mistura líquida por meio da diferença de volatilidade. No desenvolvimento de projetos de colunas de destilação para a separação de compostos binários (A e B), a figura a seguir é bastante prática e amplamente utilizada.
Diagrama isobárico da temperatura em função da fração molar do componente
A
Com relação à figura apresentada, é correto afirmar que
Provas
Questão presente nas seguintes provas
Uma das maneiras de enunciar a 1ª Lei da Termodinâmica
é: “a variação da energia do sistema tem que ser igual
à energia transferida através das suas fronteiras com as
vizinhanças”. Assim, para um sistema fechado sem reação química, ela pode ser expressa pela equação:
∆U + ∆Ek
+ ∆Ep
= Q + W
Sendo: ∆U: variação da energia interna (propriedade termodinâmica
da substância); ∆Ek
e ∆Ep
: variações das
energias cinética e potencial, respectivamente; Q: calor;
W: trabalho que acompanha a variação no volume do sistema.
Aplicando-se a 1ª Lei da Termodinâmica e conhecendo-se
as propriedades termodinâmicas da água (Tabela
a seguir), pode-se estimar a quantidade de trabalho
realizado e o calor necessário para uma massa de
1,0 kg de água líquida a 100 ºC, contida em um cilindro
por um êmbolo a uma pressão de 0,7 MPa, que é aquecida
lentamente até ocupar todo o volume do cilindro.
Neste momento, o sistema é uma mistura de líquido mais
vapor. Transfere-se, então, mais calor ao sistema, até a
água tornar-se vapor saturado a 180 ºC.
Propriedades Termodinâmicas da Água Saturada

Provas
Questão presente nas seguintes provas
Cadernos
Caderno Container