Foram encontradas 2.495 questões.

A barra AD mostrada na figura acima está apoiada em uma parede, forma um ângulo θ com a horizontal e é suportada pelos apoios B e C. Considerando que não há atrito em nenhum dos pontos de apoio da barra e que uma força de 1 kN está aplicada na extremidade D, julgue o item seguinte.
As reações verticais em B e C são iguais em módulo, mas em sentidos contrários.
Provas
Questão presente nas seguintes provas
Com relação aos compressores dos tipos alternativo, espiral (scroll), parafuso e centrífugo, julgue o item subsequente.
O compressor do tipo scroll apresenta a vantagem significativa de sua manutenção poder ser realizada em campo, sem necessidade de recursos especiais, para a substituição dos rotores espirais.
O compressor do tipo scroll apresenta a vantagem significativa de sua manutenção poder ser realizada em campo, sem necessidade de recursos especiais, para a substituição dos rotores espirais.
Provas
Questão presente nas seguintes provas
Nas engenharias, as ligas de ferro-carbono apresentam várias aplicações estruturais, o que gera intensivos estudos tanto para melhorar as propriedades dessa liga quanto para descobrir ligas não ferrosas capazes de alcançar propriedades semelhantes às daquelas que contêm o ferro como elemento principal. A respeito de ligas do sistema ferro-carbono e seus possíveis tratamentos térmicos, julgue o item a seguir.
Os ferros fundidos são soluções de ferro com percentuais em peso superiores a 2% de carbono como elemento de liga da solução. Suas fases sólidas sofrem influência das características impostas pela reação invariante eutética, podendo ser classificados com hipoeutéticos, eutéticos ou hipereutéticos, dependendo da concentração de carbono.
Os ferros fundidos são soluções de ferro com percentuais em peso superiores a 2% de carbono como elemento de liga da solução. Suas fases sólidas sofrem influência das características impostas pela reação invariante eutética, podendo ser classificados com hipoeutéticos, eutéticos ou hipereutéticos, dependendo da concentração de carbono.
Provas
Questão presente nas seguintes provas
A termodinâmica pode ser definida como a ciência que estuda a energia nas suas diferentes formas: térmica, mecânica, cinética, potencial, elétrica, magnética e nuclear. Acerca das diferentes formas de energia, julgue o item que se segue.
As formas macroscópicas de energia são aquelas que o sistema possui como um todo, em relação a alguma referência externa, como, por exemplo, as energias cinética e potencial. As formas microscópicas de energia, por sua vez, são aquelas relacionadas à estrutura molecular do sistema e ao grau de atividade molecular e independem de referenciais externos. A soma de todas as formas microscópicas de energia é denominada energia interna do sistema.
As formas macroscópicas de energia são aquelas que o sistema possui como um todo, em relação a alguma referência externa, como, por exemplo, as energias cinética e potencial. As formas microscópicas de energia, por sua vez, são aquelas relacionadas à estrutura molecular do sistema e ao grau de atividade molecular e independem de referenciais externos. A soma de todas as formas microscópicas de energia é denominada energia interna do sistema.
Provas
Questão presente nas seguintes provas
Em uma instalação de bombeamento de uma empresa, uma bomba centrífuga deve operar com vazão de 0,09 m3/s e recalcar água a uma altura manométrica de 9 m. No catálogo, o fabricante da bomba indica o NPSH (net positive succion head) igual a 5,5 m e rendimento de 60% na curva característica. Na sucção, a pressão atmosférica no local é igual a 700 mmHg, permitindo uma altura máxima de sucção de 9,5 m; as perdas correspondem a 1,2 mca e a pressão de vapor da água corresponde a 7,15 mca. A empresa tem disponíveis em estoque apenas motores elétricos comerciais de 5, 8, 10, 12, 15, 20 e 25 kW, entre os quais deve ser selecionado o que será usado para acionar a bomba. Considerando as informações acima, a densidade da água igual a 1.000 kg/m3 e g = 10 m/s 2 , julgue o próximo item.
A bomba deve trabalhar afogada.
A bomba deve trabalhar afogada.
Provas
Questão presente nas seguintes provas
No que se refere à metodologia empregada em projeto e dimensionamento de componentes de máquinas, julgue o item a seguir.
Se a função de confiabilidade com base na qual foi projetado um componente de máquina for dada por

em que t é dado em horas, a probabilidade de que esse componente tenha falhado até as 3.000 horas de operação é de 50%.
Se a função de confiabilidade com base na qual foi projetado um componente de máquina for dada por
em que t é dado em horas, a probabilidade de que esse componente tenha falhado até as 3.000 horas de operação é de 50%.
Provas
Questão presente nas seguintes provas
Acerca do funcionamento e dimensionamento dos principais elementos de máquinas, julgue o item subsequente.
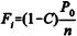
Considere que a figura abaixo ilustre esquematicamente uma junção parafusada de um vaso de pressão, na qual os parafusos estão submetidos a uma carga P0 que tende a provocar a separação da junção. Nessa situação, é correto afirmar que a
em que C é a constante de rigidez da junção e n é o fator de segurança contra a separação da junção.

Considere que a figura abaixo ilustre esquematicamente uma junção parafusada de um vaso de pressão, na qual os parafusos estão submetidos a uma carga P0 que tende a provocar a separação da junção. Nessa situação, é correto afirmar que a

Provas
Questão presente nas seguintes provas
A termodinâmica pode ser definida como a ciência que estuda a energia nas suas diferentes formas: térmica, mecânica, cinética, potencial, elétrica, magnética e nuclear. Acerca das diferentes formas de energia, julgue o item que se segue.
Calor e trabalho são duas formas de energia possíveis, pelas quais a energia pode cruzar a fronteira de um sistema fechado. A quantidade de calor de um corpo depende de sua temperatura.
Calor e trabalho são duas formas de energia possíveis, pelas quais a energia pode cruzar a fronteira de um sistema fechado. A quantidade de calor de um corpo depende de sua temperatura.
Provas
Questão presente nas seguintes provas

O elo de um mecanismo de barras esquematizado na figura acima está submetido a uma carga de tração de 240 kN. Considerando que no olhal há uma concentração de tensões cujo fator geométrico é Kt = 2, julgue o item que se segue.
A tensão cisalhante máxima na secção 20 mm × 30 mm é 200 Mpa.
Provas
Questão presente nas seguintes provas

Considerando que as figuras I e II acima representem as transformações pressão (p) versus volume (v) para ciclos motores padrão a ar, julgue o item seguinte.
Esses ciclos resultam de simplificações que consistem em admitir a operação dos ciclos motores Otto e Diesel como uma sequência de processos ideais. Entre outras simplificações, assume-se uma quantidade fixa de ar modelado como gás ideal, enquanto o processo de combustão é representado por uma transferência de calor de uma fonte externa simbolizada, nas figuras I e II, pelo processo 1-2
Provas
Questão presente nas seguintes provas
Cadernos
Caderno Container