Magna Concursos

Foram encontradas 1.470 questões.

Uma indústria de laticínios produz 10 (dez) toneladas de leite por dia. Como o equivalente populacional para esse tipo de indústria é de 10.000 habitantes por tonelada de leite processado, a carga orgânica dessa indústria, medida em kg de DBO (5 dias a 20 °C) por dia é, considerando a contribuição per capita de 54 g DBO/dia

 

Provas

Questão presente nas seguintes provas
607918 Ano: 2004
Disciplina: Direito Constitucional
Banca: ESAF
Orgão: MPU

Com relação às disposições estatutárias especiais da carreira dos membros do Ministério Público da União, assinale a opção correta.

 

Provas

Questão presente nas seguintes provas
607917 Ano: 2004
Disciplina: TI - Segurança da Informação
Banca: ESAF
Orgão: MPU

Analise as seguintes afirmações referentes à segurança da informação.

I. Um plano de contingência consiste em procedimentos de minimização da probabilidade de ocorrência de riscos.

II. Um plano de contingência consiste em procedimentos de recuperação, com a finalidade de minimizar o impacto sobre as atividades da organização quando ocorrerem danos que os procedimentos de segurança não conseguiram evitar.

III. Uma análise de risco pode ser substituída por um plano de contingência bem-elaborado e ativado constantemente.

IV. Um plano de contingência não precisa necessariamente utilizar equipamentos similares aos envolvidos no evento gerador da contingência.

Indique a opção que contenha todas as afirmações verdadeiras.

 

Provas

Questão presente nas seguintes provas

Em uma estação de tratamento de água, deseja-se ajustar a dosagem de cloro para garantir um residual de cloro livre na rede de distribuição de água, de forma a atender às normas e padrão de potabilidade de águas destinadas ao consumo humano válidos em todo o território brasileiro. Sendo assim, em termos de Portaria do Ministério da Saúde, o ajuste da dosagem de cloro na estação

 

Provas

Questão presente nas seguintes provas
607914 Ano: 2004
Disciplina: TI - Redes de Computadores
Banca: ESAF
Orgão: MPU

O gerente de uma rede é o profissional responsável por mantê-la operacional e otimizar seu desempenho. Os sistemas usados na gerência de redes devem prestar serviços sem sobrecarregar os canais de comunicação. Sobre as áreas funcionais da gerência de rede e os protocolos por elas utilizados é correto afirmar que

 

Provas

Questão presente nas seguintes provas

O fundamento que norteia a proposta e o funcionamento dos decantadores de fluxo laminar (ou simplesmente, decantadores laminares) é que

 

Provas

Questão presente nas seguintes provas
607912 Ano: 2004
Disciplina: Legislação do Ministério Público
Banca: ESAF
Orgão: MPU

luz da Lei Complementar nº 75/93, julgue os itens abaixo a respeito do perfil constitucional do Ministério Público da União (MPU).

I. O MPU é instituição permanente.

II. O MPU defende os interesses individuais disponíveis.

III. Incumbe ao MPU medidas paleativas para a garantia do respeito à ordem jurídica.

IV. O MPU exerce o controle interno da atividade de polícia judiciária.

O número de itens corretos é:

 

Provas

Questão presente nas seguintes provas
607911 Ano: 2004
Disciplina: Direito Constitucional
Banca: ESAF
Orgão: MPU
A respeito da terminologia dos cargos do Ministério Público, à luz da organização administrativa do Ministério Público da União e da Constituição Federal, assinale a opção correta.
 

Provas

Questão presente nas seguintes provas
607910 Ano: 2004
Disciplina: TI - Redes de Computadores
Banca: ESAF
Orgão: MPU

A identificação de um servidor pelo seu endereço IP não é muito comum entre os usuários, que normalmente utilizam nomes, fáceis de memorizar, para essa identificação. Na Internet, o serviço de nomes utilizado é o

 

Provas

Questão presente nas seguintes provas
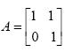
607909 Ano: 2004
Disciplina: Raciocínio Lógico
Banca: ESAF
Orgão: MPU
Sabendo-se que a matriz enunciado 607909-1 e que n - enunciado 607909-2 e n - 1então o determinante da matriz An%u2013 An-1 é igual a:
 

Provas

Questão presente nas seguintes provas