Magna Concursos

Foram encontradas 1.470 questões.

607908 Ano: 2004
Disciplina: TI - Redes de Computadores
Banca: ESAF
Orgão: MPU

O IP possibilita que os datagramas sejam divididos em fragmentos. Isso se torna necessário quando, ao longo da trajetória, o datagrama for obrigado a passar por uma rede em que o tamanho máximo aceito por um datagrama for inferior ao seu tamanho original. Com relação à fragmentação de datagramas é correto afirmar que

 

Provas

Questão presente nas seguintes provas
607907 Ano: 2004
Disciplina: TI - Redes de Computadores
Banca: ESAF
Orgão: MPU

Os roteadores IP que interligam as redes podem ser computadores ou dispositivos especificamente projetados para operar como roteadores. Existe um número máximo de roteadores pelos quais um datagrama pode passar entre sua origem e seu destino. Esse controle é realizado pelo campo

 

Provas

Questão presente nas seguintes provas

Segundo a norma brasileira ABNT NB-592/89, que fixa as condições exigíveis na elaboração de projeto de estação de tratamento de água, qualquer água, antes de ser distribuída para uma população, deve sofrer no mínimo tratamento por

 

Provas

Questão presente nas seguintes provas
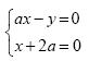
Com relação ao sistema enunciado 607905-1 de incógnitas x e y, é correto afirmar que o sistema
 

Provas

Questão presente nas seguintes provas
607904 Ano: 2004
Disciplina: TI - Redes de Computadores
Banca: ESAF
Orgão: MPU

Analise as seguintes afirmações relativas a redes ATM e Frame-Relay.

I. Quando o protocolo Frame-Relay é usado, as atividades de correção de erros e de controle de fluxo passam a ser assumidas pelos protocolos acima da camada de enlace, impedindo que se utilize redes Frame-Relay para interligar redes TCP/IP.

II. O protocolo Frame-Relay provê um serviço orientado à conexão por meio de circuitos virtuais bidirecionais, sendo possível definir diferentes velocidades de transmissão em cada direção.

III. O Frame-Relay é um protocolo dos níveis de aplicação e sessão no modelo OSI.

IV. Em uma rede Frame-Relay transportando pacotes com protocolo TCP/IP o roteador do usuário é responsável por traduzir os endereços IP em DLCIs e o roteamento dos quadros passa a ser de responsabilidade da rede Frame-Relay.

Indique a opção que contenha todas as afirmações verdadeiras.

 

Provas

Questão presente nas seguintes provas
607903 Ano: 2004
Disciplina: Direito Ambiental
Banca: ESAF
Orgão: MPU

Portaria do Ministério da Saúde, que fixa a norma e o padrão de potabilidade para todo o território nacional, não prescreve que

 

Provas

Questão presente nas seguintes provas

Ana, Bia, Clô, Déa e Ema estão sentadas, nessa ordem e em sentido horário, em torno de uma mesa redonda. Elas estão reunidas para eleger aquela que, entre elas, passará a ser a representante do grupo. Feita a votação, verificou-se que nenhuma fôra eleita, pois cada uma delas havia recebido exatamente um voto. Após conversarem sobre tão inusitado resultado, concluíram que cada uma havia votado naquela que votou na sua vizinha da esquerda (isto é, Ana votou naquela que votou na vizinha da esquerda de Ana, Bia votou naquela que votou na vizinha da esquerda de Bia, e assim por diante). Os votos de Ana, Bia, Clô, Déa e Ema foram, respectivamente, para,

 

Provas

Questão presente nas seguintes provas
607901 Ano: 2004
Disciplina: TI - Segurança da Informação
Banca: ESAF
Orgão: MPU

Analise as seguintes afirmações relativas à segurança de redes de computadores.

I. Uma zona desmilitarizada (DMZ) é uma sub-rede situada na rede interna onde são instalados os IDSs.

II. Na configuração de um Firewall o tipo mais direto da filtragem de pacotes permite controlar a transferência de dados de acordo com as portas de sessão e aplicação que estão sendo usadas para transferir os dados.

III. O DoS é uma forma de ataque na qual o atacante se faz passar por um host confiável, forjando seu IP.

IV. Na filtragem de pacotes com informação de estado deixam-se que os pacotes UDP de entrada passem somente se eles forem respostas a pacotes UDP de saída que tenham sido detectados.

Indique a opção que contenha todas as afirmações verdadeiras.

 

Provas

Questão presente nas seguintes provas

Caio, Décio, Éder, Felipe e Gil compraram, cada um, um barco. Combinaram, então, dar aos barcos os nomes de suas filhas. Cada um tem uma única filha, e todas têm nomes diferentes. Ficou acertado que nenhum deles poderia dar a seu barco o nome da própria filha e que a cada nome das filhas corresponderia um e apenas um barco. Décio e Éder desejavam, ambos, dar a seus barcos o nome de Laís, mas acabaram entrando em um acordo: o nome de Laís ficou para o barco de Décio e Éder deu a seu barco o nome de Mara. Gil convenceu o pai de Olga a pôr o nome de Paula em seu barco (isto é, no barco dele, pai de Olga). Ao barco de Caio, coube o nome de Nair, e ao barco do pai de Nair, coube o nome de Olga. As filhas de Caio, Décio, Éder, Felipe e Gil são, respectivamente,

 

Provas

Questão presente nas seguintes provas

É incorreto afirmar que as bactérias do grupo coliforme foram escolhidas como indicador de contaminação fecal pelo fato de que elas

 

Provas

Questão presente nas seguintes provas