Foram encontradas 335 questões.
O processo de lodos ativados é um dos mais aplicados e de maior eficiência e os componentes físicos do sistema podem ser: um tanque de aeração, um decantador secundário e um sistema de reciclo dos flocos sedimentados para o tanque de aeração.
A figura a seguir apresenta, de forma simplificada, os componentes do sistema de lodos ativados, bem como as correntes de efluente bruto e tratado, licor misto (efluente + lodo – linha de reciclo) e lodo de excesso.

Q = vazão da corrente de alimentação
V = volume útil do reator
So = concentração de substrato na corrente de alimentação
Se = concentração de substrato na corrente de efluente tratado
Xe = concentração de biomassa no reator
Xu = concentração de biomassa no fundo do sedimentador
W = vazão de purga de lodo
r = razão de reciclo = rQ/Q
Com base nessas informações, assinale a afirmativa correta.
Provas
O óxido de cobre pode ser produzido de diversas maneiras e, devido às suas propriedades únicas, ele encontra aplicações em diversas áreas, tais como, indústria de cerâmica, catalisadores e semicondutores.
Um dos métodos mais comuns envolve a oxidação do metal cobre em presença de ar. São conhecidas a 298K, as seguintes entalpias e entropias a T e P constantes:

Em relação ao óxido de cobre, assinale a afirmativa correta.
Provas
Na etapa do tratamento secundário dos esgotos domésticos, ocorrem vários processos biológicos de tratamento, tanto os de natureza aeróbica quanto os de natureza anaeróbica.
Em relação aos processos de tratamento de lodos ativados e digestores anaeróbicos, assinale a afirmativa correta.
Provas
A gestão de resíduos agrícolas e agroindustriais de forma adequada traz benefícios relacionados à prevenção da poluição de cursos de água e do solo, à diminuição de foco de doenças para as lavouras e à produção de adubos orgânicos para uso agrícola.
Sobre o tema, avalie as afirmativas a seguir.
I. No processo de compostagem, a ação microbiológica é intensa e as bactérias formam o grupo mais ativo no processo inicial da compostagem e em toda fase termofílica. Açúcares e outros carboidratos tendem a ser completamente biodegradados na compostagem enquanto lipídios, celulose e hemicelulose podem ser reduzidos em 60 a 75% num período aproximado de 60 dias de compostagem.
II. A compostagem permite a redução do volume e peso do material original, algo importante considerando o tratamento de resíduos orgânicos. A perda de carbono, por meio da formação do CaCO3, e a intensa perda de umidade é responsável por reduções de 25 a 50% no volume e de 40 a 80% no peso total.
III. Durante o processo de compostagem, a decomposição de moléculas orgânicas mineraliza nutrientes resultando em fosfato (PO4 3- ), íon potássio (K+ ), amônio (NH4 + ) e nitrato (NO3 - ). Enquanto o nitrogênio e o fósforo são imobilizados por bactérias, o potássio resultante de decomposição de tecidos vegetais continua em sua forma iônica, sujeito à lixiviação.
Está correto o que se afirma em
Provas
- Química InorgânicaSoluções e Substâncias InorgânicasSoluções: características, tipos de concentração, diluição, mistura, titulação e soluções coloidais
Durante o tratamento de efluentes, diversas técnicas são utilizadas a fim de obter uma boa eficiência de remoção dos principais parâmetros de poluição.
Em relação ao tratamento primário, assinale a afirmativa correta.
Provas
As drogas de interesse forense são divididas em grupos de substâncias com base em publicações da Agência Nacional de Vigilância Sanitária (ANVISA).
No Brasil, um produto que contém como princípios ativos os canabinoides e canabidiol é registrado como medicamento. Eles podem ser identificados e quantificados utilizando cromatografia líquida de alta eficiência (CLAE) ou por cromatografia em fase gasosa (CG).
Em relação a essas técnicas analíticas, assinale a afirmativa correta.
Provas
- Química InorgânicaSoluções e Substâncias InorgânicasPropriedades Coligativas: Tonoscopia, Ebulioscopia, Crioscopia e Pressão Osmótica.
O abaixamento relativo da pressão de vapor da água a 100°C, em uma solução de ureia em água, é de 0,36%.
Sabendo que a massa molecular da água e da ureia são, respectivamente, 18 g e 60 g, e admitindo o comportamento ideal para o vapor e a pressão de vapor do solvente igual a 1 atm., a concentração da solução de ureia dissolvidos em 1.000 g de água e a pressão de vapor da solução de ureia são, respectivamente,
Provas
Órgãos ambientais, recentemente, divulgaram que os gases de efeito estufa (GEE) emitidos no Brasil são provenientes, principalmente, da agropecuária e das mudanças no uso da terra, das queimadas e do desmatamento das florestas.
Sabendo que COV é definido como composto orgânico volátil, assinale a opção que contêm GEE e GEE indiretos na troposfera.
Provas
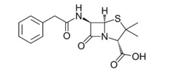
A descoberta da Penicilina G ou Benzilpenicilina e o seu subsequente uso terapêutico representou um marco na terapia medicamentosa, pois o seu surgimento no passado produziu uma acentuada redução da mortalidade.

Assinale a opção que indica as funções orgânicas presentes nessa molécula.
Provas
Muitas minas de carvão no Brasil liberam quantidades consideráveis de ácido sulfúrico e hidróxido de ferro nos rios locais.
A liberação de piritas durante a drenagem ácida das minas, em contato com oxigênio e água, geram as seguintes reações:
I. FeS2 + 7/2 O2 + H2O ↔ Fe2+ + 2 HSO4 ─
II. Fe2+ + 1/4 O2 + 1/2 H2O ↔ Fe3+ + OH─
III. Fe3+ + 3 H2O ↔ Fe(OH)3 + 3 H+
Assinale a opção que indica quantos mols de ácido sulfúrico são liberados nos rios para um mol de pirita produzido.
Provas
Caderno Container