Magna Concursos

Foram encontradas 60 questões.

2106473 Ano: 2021
Disciplina: Raciocínio Lógico
Banca: AOCP
Orgão: PC-PA
Provas:

Quatro aviões de transporte de passageiros, identificados por A, B, C e D, estão sobrevoando um aeroporto e aguardando uma mensagem da torre de comando, a qual informará em qual pista cada avião deve pousar. Na torre de comando, verificadas as variáveis para cada um dos aviões, foi constatado que:


• se o avião A não deve pousar na pista 3, então o avião B não deve pousar na pista 2;

• se o avião B não deve pousar na pista 2, então o avião C deve pousar na pista 3;

• se o avião C deve pousar na pista 3, então o avião D não deve pousar na pista 1.


Após analisar essas condicionais, a mensagem foi enviada para cada um dos aviões, sendo que, nessa mensagem, foi determinado que o avião D deve pousar na pista 1. Com base nessas informações, é correto afirmar que

 

Provas

Questão presente nas seguintes provas
2105850 Ano: 2021
Disciplina: Português
Banca: AOCP
Orgão: PC-PA
Provas:

Zuenir Ventura: Não podemos reduzir o mundo a 140 toques

Wilker Sousa

Notícias produzidas em tempo real na tentativa de apreender um mundo complexo cujas fronteiras, em face do universo digital, há muito desapareceram. Lidar com tecnologias que ampliam o acesso à informação e ao mesmo tempo restringem a notícia a textos exíguos. Essas são algumas das questões que vêm à tona quando se propõe discutir a atividade jornalística contemporânea.

Na tarde do último sábado (29), esse foi o tema do debate Cena Contemporânea – O jornalismo dos Primeiros 10 anos do século 21, presente no XIII Fenart (Festival Nacional de Arte), realizado em João Pessoa.

Ao longo de três horas, os jornalistas Marcela Sitônio, Jô Mazarollo e Gonzaga Rodrigues (da imprensa local) juntamente com o jornalista e escritor mineiro Zuenir Ventura analisaram os impactos das tecnologias recentes no cotidiano do jornalista e em que medida suscitam novas maneiras de se pensar e de se fazer jornalismo. Ao final do debate, Zuenir Ventura concedeu entrevista à CULT, leia a seguir.

CULT – Em tempos de twitter e da avalanche de informações a que o indivíduo é submetido, ainda há público leitor para grandes reportagens?

Zuenir Ventura – Eu acho tudo isso melhor do que não escrever e melhor do que não ler, mesmo sabendo da precariedade do texto. É melhor porque você se habitua a ler e amanhã lerá outras coisas. Recentemente, li sobre o episódio de um jovem que mal sabia escrever e começou a ficar isolado de sua turma porque todo mundo se comunicava via e-mail. Ele ficou desesperado e aprendeu a escrever para passar e-mails para os colegas da turma. Então, é melhor assim do que se não houvesse nada. Mas é claro que isso não pode ser um processo pernicioso, ou seja, a gente não pode reduzir o mundo a 140 toques. Tem coisa que pode ser escrita em 140 toques, outras não. Eu também acho que a grande reportagem não é necessariamente uma reportagem grande, mas apenas há assuntos que necessitam de mais espaço, de mais tempo, de mais apuração, ou seja, a diferença de uma matéria está em como foi feita a pesquisa, a apuração, o trabalho com o texto. Por que as matérias de jornalismo literário são melhores? Porque se tem mais tempo para trabalhar, mais espaço e isso exige uma qualidade maior na feitura do texto.

Adaptado de: https://revistacult.uol.com.br/home/o-jornalismo-do-seculo-21/.

Acesso em: 16 jan. 2021.

Sobre o título do texto, assinale a alternativa correta.
 

Provas

Questão presente nas seguintes provas
2105849 Ano: 2021
Disciplina: Português
Banca: AOCP
Orgão: PC-PA
Provas:

Zuenir Ventura: Não podemos reduzir o mundo a 140 toques

Wilker Sousa

Notícias produzidas em tempo real na tentativa de apreender um mundo complexo cujas fronteiras, em face do universo digital, há muito desapareceram. Lidar com tecnologias que ampliam o acesso à informação e ao mesmo tempo restringem a notícia a textos exíguos. Essas são algumas das questões que vêm à tona quando se propõe discutir a atividade jornalística contemporânea.

Na tarde do último sábado (29), esse foi o tema do debate Cena Contemporânea – O jornalismo dos Primeiros 10 anos do século 21, presente no XIII Fenart (Festival Nacional de Arte), realizado em João Pessoa.

Ao longo de três horas, os jornalistas Marcela Sitônio, Jô Mazarollo e Gonzaga Rodrigues (da imprensa local) juntamente com o jornalista e escritor mineiro Zuenir Ventura analisaram os impactos das tecnologias recentes no cotidiano do jornalista e em que medida suscitam novas maneiras de se pensar e de se fazer jornalismo. Ao final do debate, Zuenir Ventura concedeu entrevista à CULT, leia a seguir.

CULT – Em tempos de twitter e da avalanche de informações a que o indivíduo é submetido, ainda há público leitor para grandes reportagens?

Zuenir Ventura – Eu acho tudo isso melhor do que não escrever e melhor do que não ler, mesmo sabendo da precariedade do texto. É melhor porque você se habitua a ler e amanhã lerá outras coisas. Recentemente, li sobre o episódio de um jovem que mal sabia escrever e começou a ficar isolado de sua turma porque todo mundo se comunicava via e-mail. Ele ficou desesperado e aprendeu a escrever para passar e-mails para os colegas da turma. Então, é melhor assim do que se não houvesse nada. Mas é claro que isso não pode ser um processo pernicioso, ou seja, a gente não pode reduzir o mundo a 140 toques. Tem coisa que pode ser escrita em 140 toques, outras não. Eu também acho que a grande reportagem não é necessariamente uma reportagem grande, mas apenas há assuntos que necessitam de mais espaço, de mais tempo, de mais apuração, ou seja, a diferença de uma matéria está em como foi feita a pesquisa, a apuração, o trabalho com o texto. Por que as matérias de jornalismo literário são melhores? Porque se tem mais tempo para trabalhar, mais espaço e isso exige uma qualidade maior na feitura do texto.

Adaptado de: https://revistacult.uol.com.br/home/o-jornalismo-do-seculo-21/.

Acesso em: 16 jan. 2021.

Quanto aos mecanismos de coesão textual empregados no texto, assinale a alternativa correta.
 

Provas

Questão presente nas seguintes provas
2105841 Ano: 2021
Disciplina: Português
Banca: AOCP
Orgão: PC-PA
Provas:

Zuenir Ventura: Não podemos reduzir o mundo a 140 toques

Wilker Sousa

Notícias produzidas em tempo real na tentativa de apreender um mundo complexo cujas fronteiras, em face do universo digital, há muito desapareceram. Lidar com tecnologias que ampliam o acesso à informação e ao mesmo tempo restringem a notícia a textos exíguos. Essas são algumas das questões que vêm à tona quando se propõe discutir a atividade jornalística contemporânea.

Na tarde do último sábado (29), esse foi o tema do debate Cena Contemporânea – O jornalismo dos Primeiros 10 anos do século 21, presente no XIII Fenart (Festival Nacional de Arte), realizado em João Pessoa.

Ao longo de três horas, os jornalistas Marcela Sitônio, Jô Mazarollo e Gonzaga Rodrigues (da imprensa local) juntamente com o jornalista e escritor mineiro Zuenir Ventura analisaram os impactos das tecnologias recentes no cotidiano do jornalista e em que medida suscitam novas maneiras de se pensar e de se fazer jornalismo. Ao final do debate, Zuenir Ventura concedeu entrevista à CULT, leia a seguir.

CULT – Em tempos de twitter e da avalanche de informações a que o indivíduo é submetido, ainda há público leitor para grandes reportagens?

Zuenir Ventura – Eu acho tudo isso melhor do que não escrever e melhor do que não ler, mesmo sabendo da precariedade do texto. É melhor porque você se habitua a ler e amanhã lerá outras coisas. Recentemente, li sobre o episódio de um jovem que mal sabia escrever e começou a ficar isolado de sua turma porque todo mundo se comunicava via e-mail. Ele ficou desesperado e aprendeu a escrever para passar e-mails para os colegas da turma. Então, é melhor assim do que se não houvesse nada. Mas é claro que isso não pode ser um processo pernicioso, ou seja, a gente não pode reduzir o mundo a 140 toques. Tem coisa que pode ser escrita em 140 toques, outras não. Eu também acho que a grande reportagem não é necessariamente uma reportagem grande, mas apenas há assuntos que necessitam de mais espaço, de mais tempo, de mais apuração, ou seja, a diferença de uma matéria está em como foi feita a pesquisa, a apuração, o trabalho com o texto. Por que as matérias de jornalismo literário são melhores? Porque se tem mais tempo para trabalhar, mais espaço e isso exige uma qualidade maior na feitura do texto.

Adaptado de: https://revistacult.uol.com.br/home/o-jornalismo-do-seculo-21/. Acesso em: 16 jan. 2021.

A partir da leitura do texto, é correto afirmar que
 

Provas

Questão presente nas seguintes provas
2102308 Ano: 2021
Disciplina: Química
Banca: AOCP
Orgão: PC-PA
Provas:
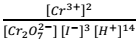
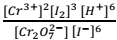
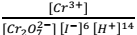
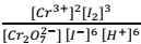
Considere a célula voltaica descrita pela reação entre dicromato de potássio e iodeto de sódio, em meio ácido, com formação de iodo sólido. Assinale a alternativa que apresenta corretamente a expressão do quociente da reação (Q) para esse processo.
 

Provas

Questão presente nas seguintes provas
2102307 Ano: 2021
Disciplina: Química
Banca: AOCP
Orgão: PC-PA
Provas:

Considere a mistura de 100 mL de sulfeto de sódio 0,2 mol L−1 com 100 mL de nitrato de chumbo 0,1 mol L−1 , resultando na formação do precipitado sulfeto de chumbo. A solubilidade, em mol L−1 , do sulfeto de chumbo na solução é de

(Dado: Kps PbS = 3,0x10−28)

 

Provas

Questão presente nas seguintes provas
2102306 Ano: 2021
Disciplina: Química
Banca: AOCP
Orgão: PC-PA
Provas:
Em relação à acidez e à basicidade dos compostos orgânicos e inorgânicos, assinale a alternativa correta.
 

Provas

Questão presente nas seguintes provas
2102305 Ano: 2021
Disciplina: Química
Banca: AOCP
Orgão: PC-PA
Provas:
Muitas propriedades dos gases e líquidos refletem a intensidade das forças intermoleculares. Uma dessas propriedades corresponde ao ponto de ebulição. Com base na comparação entre os pontos de ebulição das substâncias, assinale a alternativa correta.
 

Provas

Questão presente nas seguintes provas
2085503 Ano: 2021
Disciplina: Física
Banca: AOCP
Orgão: PC-PA
Provas:
Um bloco de massa m = 200 g está conectado a uma mola de constante elástica k = 5 N/m. Suponha que o bloco, apoiado sobre um plano horizontal sem atrito, seja deslocado 10 cm a partir de sua posição de equilíbrio e, em seguida, seja solto e passe a oscilar em movimento harmônico simples. Em relação a esse movimento realizado pelo bloco, assinale a alternativa correta.
 

Provas

Questão presente nas seguintes provas
2084151 Ano: 2021
Disciplina: Direito Processual Penal
Banca: AOCP
Orgão: PC-PA
Provas:
Assinale a alternativa correta.
 

Provas

Questão presente nas seguintes provas