Foram encontradas 100 questões.
Considere que os dispositivos do circuito abaixo sejam todos ideais.

É correto afirmar que:
Provas
No circuito abaixo, se a tensão da fonte V bb for diminuída de valor, é correto afirmar que:

Provas
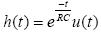
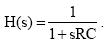
Considere um circuito com uma entrada x(t) e saída y(t) = dx(t)/dt. É correto afirmar que o circuito é:
Provas
Na figura abaixo, considere todos os dispositivos ideais D1, D2, C1 e C2 e que a tensão da fonte alternada seja v(t) = 12 sen(ωt) volts.

Para a chave S aberta, a tensão entre os seus terminais será:
Provas
Acerca do Microsoft Word 2003, analise as seguintes afirmações:
1. Para preenchimento do cabeçalho ou do rodapé de um documento, é disponibilizada a opção de inserir AutoTextos.
2. A opção de menu Ferramentas / Controlar Alterações é utilizada para garantir que o arquivo não seja modificado por pessoas não autorizadas.
3. A partir da opção de menu Inserir / Imagem, é possível inserir em um documento imagens do clip-art e de arquivos, mas não direto de uma câmera digital conectada ao computador.
4. A opção de menu Editar / Colar Especial permite colar no documento o conteúdo da área de transferência em diferentes formatos, como HTML e RTF, mas não permite colar o texto sem formatação.
Assinale a alternativa correta.
Provas
Ao excluir um arquivo no Windows XP, em sua configuração padrão, o arquivo é enviado para a Lixeira. Com relação ao funcionamento da lixeira, temos as seguintes afirmações:
1. Itens enviados para a lixeira deixam de ocupar espaço no disco rígido.
2. Uma lixeira é alocada para cada partição ou disco rígido existente no computador.
3. Ao excluir arquivos de um disquete, eles não serão enviados para a lixeira, sendo excluídos permanentemente.
Assinale a alternativa correta.
Provas
Em relação aos novos recursos incorporados ao Word 2003, considere as seguintes afirmativas:
1. No menu Arquivo / Permissão o usuário pode escolher o nível de acesso para o seu arquivo, evitando, assim, que pessoas não autorizadas tenham acesso.
2. Para localizar arquivos no disco rígido sem sair do aplicativo, a opção Pesquisar Arquivo, do menu Arquivo, permite ao usuário a consulta.
3. No momento de digitar um documento em outro idioma é comum surgir uma dúvida quanto à palavra necessária (Como se escreve, ou seu real significado). Através do menu Ferramentas / Idioma, o usuário pode escolher a opção Pesquisar e clicar sobre a opção Tradução.
4. A partir de Painéis de Tarefas e do menu Ajuda, é possível acessar a Assistência on line do Microsoft Office.
Assinale a alternativa correta.
Provas
No que se refere à memória RAM do computador, pode-se afirmar que:
Provas
Acerca do Sistema Operacional Windows XP, considere as afirmativas que se seguem:
1. Dentre inúmeros recursos do Windows XP, o ?Assistente para a limpeza da área de trabalho? sugere a remoção periódica de atalhos que não são recentemente usados.
2. Um usuário inicia uma instalação de uma aplicação, a qual verifica que versão do Windows está sendo executada e acaba não reconhecendo o Windows XP. Isso sempre resultará em uma mensagem de erro proveniente da aplicação como, por exemplo: "Esta aplicação foi projetada para ser executada no Windows 98?. O modo de compatibilidade no Windows XP pode lidar com essa situação, informando à aplicação que ela está sendo executada no Windows 98 (ou qualquer outra versão que a aplicação exija).
3. O ClearType é uma tecnologia nova, implementada a partir do desenvolvimento do Windows 2000, e que permite que as letras tenham uma melhor resolução na tela do monitor, facilitando portanto a sua leitura.
4. ?Suavização de fontes? é um novo recurso do Windows XP que possibilita a criação de novas fontes para serem usadas em editores de textos e planilhas.
Assinale a alternativa correta.
Provas
A sentença "penso, logo existo" é logicamente equivalente a
Provas
Caderno Container