Foram encontradas 100 questões.
Disciplina: TI - Sistemas Operacionais
Banca: IPAD
Orgão: Polícia Científica-PE
- Sistemas de ArquivosComparativo entre Sistemas de Arquivos
- Sistemas de ArquivosTipos de Sistemas de ArquivosEXT2
- Sistemas de ArquivosTipos de Sistemas de ArquivosEXT3
- Sistemas de ArquivosTipos de Sistemas de ArquivosFAT32
- Sistemas de ArquivosTipos de Sistemas de ArquivosNTFS
Analise as afirmativas a seguir, relativas aos sistemas de arquivos.
1. O sistema de arquivos NTFS oferece suporte a nomes de arquivos com até 255 caracteres, enquanto que o FAT32 suporta somente arquivos com nomes contendo, no máximo, 32 caracteres.
2. O Windows NT e o Windows 2000 utilizam o NTFS como sistema de arquivos nativo, possibilitando armazenar, neste sistema, os nomes de arquivo no formato unicode.
3. O EXT2 não suporta journaling, necessitando de ferramentas para realizar a verificação do sistema de arquivos, enquanto que o EXT3 utiliza o journaling, permitindo recuperação rápida no caso de interrupções súbitas.
4. As árvores balanceadas são utilizadas no REISER para agilizar o processo de busca de informações, como arquivos e metadados.
5. Os sistemas de arquivos FAT12 e FAT16 não implementam controle de acesso nos arquivos e pastas; já o NTFS, EXT2, EXT3, FAT32 e REISER evitam o acesso não-autorizado às informações armazenadas no sistema de arquivos.
Assinale a alternativa correta:
Provas
A respeito dos navegadores (browsers) de Internet, analise as afirmativas a seguir:
1. Cache é o local onde os navegadores armazenam o conteúdo existente nas páginas visitadas para agilizar as visitas posteriores, evitando efetuar a transferência dos itens que não foram modificados desde a última visita e que ainda estejam armazenados no cache.
2. O Histórico dos navegadores armazena os endereços das páginas visitadas recentemente, além de permitir a navegação pelas páginas previamente acessadas que ainda estejam armazenadas no cache através da ativação do Modo Offline dos navegadores.
3. A opção para salvar/autocompletar dados de formulários facilita o preenchimento dos dados que já foram digitados em ocasiões anteriores, porém outras pessoas que tenham acesso à conta do usuário no computador podem ter acesso a estas informações.
4. Um cookie armazena informações provenientes de um site com o propósito de serem utilizadas para inibir a identificação do visitante nas suas futuras visitas ao site.
Assinale a alternativa correta:
Provas
Disciplina: TI - Desenvolvimento de Sistemas
Banca: IPAD
Orgão: Polícia Científica-PE
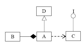
Considere o diagrama de classes e as afirmativas abaixo:

1. Um objeto da classe B pertence a exatamente um único objeto da classe A.
2. A classe A realiza a interface C.
3. A classe A herda as variáveis e os métodos da classe D.
Assinale a alternativa correta
Provas
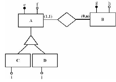
Considere o diagrama de entidade-relacionamento e as afirmativas abaixo.

1. O DER é um diagrama utilizado para representar o modelo lógico de dados.
2. A entidade A é dependente da entidade B.
3. A entidade B é identificada unicamente pelo atributo g.
4. A entidade C não possui atributo identificador.
5. Os atributos da entidade C são: e, f, i.
Assinale a alternativa correta
Provas
Disciplina: TI - Desenvolvimento de Sistemas
Banca: IPAD
Orgão: Polícia Científica-PE
Assinale a alternativa que contém os nomes e a seqüência correta das fases que compõem o RUP (Rational Unified Process):
Provas
Disciplina: TI - Desenvolvimento de Sistemas
Banca: IPAD
Orgão: Polícia Científica-PE
Considere as seguintes afirmativas relacionadas com a análise estruturada moderna
1. É voltada para a modelagem de funções.
2. Utiliza abordagem top-down na elaboração dos diagramas de fluxo de dados.
3. Utiliza abordagem middle-up na elaboração dos diagramas de fluxo de dados.
4. Aborda o sistema apenas sobre duas perspectivas: processos e dados.
Assinale a alternativa correta
Provas
Sobre processadores, analise as afirmativas a seguir e indique V (verdadeiro) ou F (falso).
( ) O processador Core 2 Duo da Intel possui dois núcleos de processamento.
( ) O Pentium M é um processador voltado para o mercado de notebooks e é baseado na arquitetura do Pentium 4.
( ) Os processadores Xeon da Intel são desenvolvidos para servidores. Estes processadores apresentam melhor desempenho que os processadores desenvolvidos para estações de trabalho, são capazes de reconhecer mais memória RAM e trabalhar em ambiente multiprocessado.
( ) Os processadores Celeron e Sempron foram desenvolvidos respectivamente pela AMD e pela Intel para o mercado de usuários interessados em processadores de menor custo.
( ) O Athlon 64 é um processador de 64 bits e, portanto, incompatível com os programas desenvolvidos para serem executados em processadores de 32 bits.
A seqüência correta, de cima para baixo, é:
Provas
- Nocões BásicasHardwareProcessador (CPU/UCP)
- Nocões BásicasHardwareMemória
- Nocões BásicasHardwareInterfaces de Conexão
Considere um sistema computacional contendo processador, memória e barramento com as seguintes características:
1. Sistema de memória e barramento suportando acesso a blocos de 4 palavras de 32 bits.
2. Um barramento de 64 bits, síncrono, com clock de 200 MHz, sendo que cada transferência de 64 bits gasta 1 ciclo de clock e, adicionalmente, 1 ciclo de clock para envio de um endereço à memória.
3. São necessários 2 ciclos de clock entre duas operações sucessivas no barramento. (Suponha que o barramento está livre antes de um acesso).
4. O tempo de acesso à memória é de 100 ns.
A latência e a banda passante para leitura de 256 palavras são, respectivamente:
Provas
Disciplina: TI - Organização e Arquitetura dos Computadores
Banca: IPAD
Orgão: Polícia Científica-PE
Qual a representação correta em complemento de dois, usando 8 bits, do número -35?
Provas
Leia as afirmativas abaixo e marque V para as verdadeiras e F para as falsas.
( ) Um processador CISC reconhece centenas de instruções complexas, por isso é mais rápido que um processador RISC.
( ) Um processador RISC reconhece um conjunto limitado de instruções. As instruções não contempladas são executadas como combinações das existentes.
( ) A memória do tipo SRAM é extremamente rápida e, embora volátil, só perde seu conteúdo se a máquina for desligada, não exigindo que a CPU renove seu conteúdo continuamente.
( ) Uma célula de memória é a menor unidade endereçável no computador. O termo palavra é usado para designar a quantidade de bits que pode ser armazenada em cada célula. Então, em uma máquina de 16 bits, cada célula da memória principal armazena 2 bytes.
( ) Em uma máquina pipeline, a execução de uma instrução é dividida em diferentes estágios de modo que cada um deles seja manipulado por partes de hardware específicas.
A seqüência correta, de cima para baixo, é:
Provas
Caderno Container