Foram encontradas 2.308 questões.
Em relação aos componentes estruturais do casco de um navio, é correto afirmar que as(os)
Provas

Utilizando-se o software Autocad, os 3 segmentos de reta da Figura 1 deverão ser transformados no triângulo retângulo apresentado na Figura 2. Empregando-se o comando FILLET para executar esta tarefa, o valor em que deve ser ajustado o atributo raio do comando, em cm, será
Provas

A Figura 2 apresentada acima foi gerada a partir da Figura 1 no AutoCAD (versão 2000 ou posterior) utilizando apenas duas funções, com suas respectivas opções, em três estágios. As duas funções são:
Provas
Uma empresa telefônica venceu uma concorrência pública e agora dispõe, para seus serviços celulares, de uma banda de 10 MHz para transmissão e outra de 10MHz para recepção, estando as mesmas espaçadas de 45 MHz. Cada uma das bandas é formada por canais de RF de 25 kHz. Sabendo que a tecnologia empregada pela operadora é a TDMA (Múltiplo acesso por divisão no tempo), onde cada canal RF comporta 3 conversações simultâneas, o número máximo de conversações simultâneas que a empresa é capaz de disponibilizar aos seus usuários é
Provas

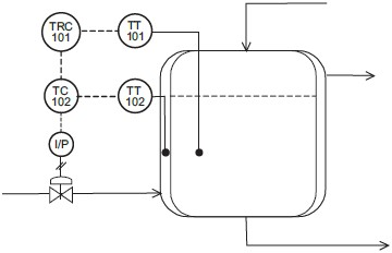
O diagrama do processo industrial apresentado na figura acima representa o controle
Provas
Uma placa de orifício segmental foi instalada na tubulação de saída do condensador de topo de uma coluna de destilação para medir a vazão do produto obtido na separação. Qual o tag para identificação deste instrumento no diagrama P&I?
Provas

De acordo com as normas ANSI/ISA-S.5.1-1984 (R.1992), elaboradas pela Instrument Society of América, os instrumentos LI-203 e TAH-203, na figura acima, representam, respectivamente,
Provas
A Norma ASTM estabelece os parâmetros básicos para controle e aplicação de ensaio por líquido penetrante em metais não porosos e componentes não metálicos, sendo que sua utilização deve ser realizada sempre em conjunto com um procedimento detalhado. Com relação à utilização desta norma, considere as afirmativas a seguir.
I - Sempre deve ser adotado um outro documento que estabeleça o critério de aceitação e rejeição do item que está sendo ensaiado.
II - O item que está sendo ensaiado, para ter aceitação, não deve sofrer nenhum tipo de efeito nocivo diante de qualquer líquido penetrante.
III - Os Manuais e Boletins de Serviço devem fornecer, para um procedimento específico, informações complementares às já existentes na norma.
É(São) correta(s) a(s) afirmativa(s)
Provas
As válvulas de regulagem são dispositivos utilizados para controlar o fluxo de fluidos em uma tubulação, podendo trabalhar em qualquer posição de fechamento. São exemplos dessa modalidade de válvula as do tipo
Provas
Um transmissor de pressão diferencial usado para medir a vazão de um líquido que escoa por uma tubulação está conectado às tomadas de pressão de uma placa de orifício. Qual das figuras abaixo mostra a forma correta de conectar as tomadas de pressão?
Provas
Caderno Container