Foram encontradas 410 questões.
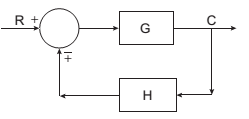
No diagrama de blocos representado abaixo, verificam-se os componentes principais de um sistema de controle realimentado.

A sequência 1, 2, 3, 4 e 5 dos elementos indicados no diagrama é, respectivamente,
Provas
- Álgebra Booleana e Circuitos Lógicos
- Eletrônica Digital na Engenharia Eletrônica
- Sistemas de Controle

No diagrama Ladder acima, a saída S corresponde a
Provas
Observe o diagrama Ladder abaixo.

A saída S desse diagrama corresponde a
Provas

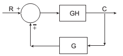
Um sistema de retroação unitária que pode ser apresentado no lugar do sistema de retroação acima é:
Provas
No diagrama Ladder abaixo, “A” corresponde ao sinal do sensor no campo, e “B”, ao valor esperado.

Utilizando-se o diagrama Ladder, juntamente com o conceito de falha segura, qual o valor da saída S quando o sinal vindo do sensor no campo é zero?
Provas
O gráfico abaixo representa a resposta a uma dada alteração de carga.

As inscrições nesse gráfico podem ser descritas:
Provas
A Figura abaixo é um diagrama de blocos representativo de um sistema de controle.

A variável manipulada e a variável controlada são aquelas presentes nos fluxos de sinal indicados, respectivamente, pelos números
Provas
Na coluna representada na Figura, não havendo mudança de set points em relação à condição normal de operação, o resultado de um cenário de inundação da coluna tipicamente leva o operador a observar um
Provas
O protocolo HART® foi desenvolvido pela Rosemount Inc. e significa Via de Dados Endereçável por Transdutor Remoto que vem do inglês Highway Addressable Remote Transducer.
Esse protocolo
Provas
Um técnico de uma indústria é responsável por analisar os índices de distorção harmônica na corrente de um inversor de frequência, disponibilizados no painel do equipamento. Quando esses índices analisados estiverem acima do permitido, o técnico formula um diagnóstico, e o equipamento sofre uma intervenção para troca de peças e atualização de ganhos do seu controlador.
Qual o tipo de manutenção que está sendo realizada por esse técnico?
Provas
Caderno Container