Foram encontradas 70 questões.
Na Figura a seguir é apresentado o circuito de um regulador de tensão que emprega um diodo zener Z1 com tensão de ruptura igual a 6,0 V.

Considerando-se a curva característica de corrente x tensão do diodo zener Z1 apresentada no gráfico acima, conclui-se que a relação entre a corrente reversa iZ no diodo zener e a tensão não regulada VA é expressa graficamente por:
Provas
A base de tempo do contador binário é definida através do sinal de relógio CLK, ilustrado no gráfico abaixo. Além disso, o contador inicia a sua operação em t = 0 s no estado X2 X1 X0 = 000.
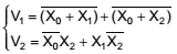
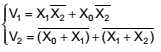
Para ajustar a quantidade desejada de cada reagente a ser despejada no Tanque 3, as válvulas V1 e V2 devem ser acionadas, conforme mostrado nos gráficos a seguir, onde o estado 1 (nível lógico alto) mantém a válvula aberta, e o estado 0 (nível lógico baixo) mantém a válvula fechada.
Dessa forma, quais são as funções lógicas booleanas que o circuito lógico deve realizar para controlar o acionamento das válvulas V1 e V2 conforme a especificação do projeto?
Provas
O amplificador representado na Figura a seguir está polarizado com uma fonte de alimentação simples VCC = 15 V e emprega um amplificador operacional com impedância de saída zero e com impedância de entrada e ganho muito altos.

Nesse circuito, o ganho de sinal Vo /Vi na banda passante da sua resposta em frequência será de
Provas
A Figura abaixo representa uma linha de transmissão de energia elétrica com as três fases e a referência terra.

Sabe-se que a equação matricial que relaciona os componentes simétricos com os seus respectivos fasores, na situação de um curto-circuito, é dada por:

Essa falta refere-se a um curto-circuito entre
Provas
Provas
Em um determinado setor de um sistema elétrico onde se encontra uma linha de transmissão de 500 Ω, adotaram-se como bases a tensão de 200 kV e a potência de 4,0 MVA.
A impedância dessa linha de transmissão em pu é igual a
Provas
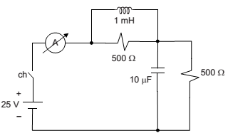
Considere o circuito elétrico alimentado por uma fonte de tensão contínua mostrado na Figura a seguir. O indutor e o capacitor estão inicialmente descarregados. Os componentes são considerados ideais, e seus valores numéricos estão impressos no circuito.
Duas medidas de corrente elétrica são efetuadas no amperímetro: a primeira medida é feita no exato instante em que a chave (ch) é fechada, e a segunda medida é realizada, com a chave ligada, depois de um tempo suficiente para o circuito atingir o estado estacionário.

Sobre os resultados obtidos nas duas medidas de corrente, constata-se que
Provas
Considere um transformador em fase, trifásico e abaixador, com relação de transformação, em pu, dada por (1: a), sendo empregado em um sistema elétrico de potência radial com finalidade de realizar o controle da magnitude da tensão terminal. Esse transformador possui relação nominal de transformação de 130 kV / 65 kV. Considere que as tensões nominais do transformador sejam base do sistema, e que esse transformador esteja sendo alimentado, em seu primário, por uma tensão de 125 kV e que a tensão observada no secundário seja de 70 kV.
Nas condições acima definidas, o valor aproximado, em pu, do tap “a” desse transformador é:
Provas
O circuito elétrico resistivo mostrado na Figura a seguir, cujos valores resistivos estão impressos no circuito, é alimentado por uma fonte de tensão contínua.

Conectando-se os bornes de um amperímetro ideal, entre os pontos 1 e 2 do circuito, para realizar uma medida de corrente, o valor obtido, em mA, será
Provas
O circuito da Figura abaixo tem como objetivo controlar a potência elétrica entregue pela fonte de tensão VS para a resistência de carga RL . Nesse circuito, a fonte VS entrega uma tensão alternada senoidal com frequência de 50 Hz, conforme a forma de onda mostrada no gráfico a seguir.

Considerando-se desprezíveis as quedas de tensão no SCR e no diodo quando estes estão em condução, a potência média dissipada no resistor RL é igual a 24 W quando a tensão de controle VG apresenta a forma de onda VG1 exibida no gráfico acima.
Consequentemente, qual será a potência, em watts, dissipada no resistor RL , se esse mesmo circuito for acionado pelo sinal de controle VG = VG2 mostrado no gráfico acima?
Provas
Caderno Container