Foram encontradas 70 questões.

Provas
Questão presente nas seguintes provas

The main purpose of Text II is to
Provas
Questão presente nas seguintes provas

Provas
Questão presente nas seguintes provas


Provas
Questão presente nas seguintes provas

Provas
Questão presente nas seguintes provas

Provas
Questão presente nas seguintes provas
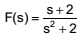
A transformada de Laplace da função f(t) = (1-t -e -2t)u(t),
na qual u(t) é o degrau unitário, é
Provas
Questão presente nas seguintes provas
Considere o sistema de equações lineares nas variáveis reais x e y:
no qual k e m são reais.
Sabe-se que existem números reais a e b, com a≠b, tais que os pares ordenados (a,b) e (b,a) são soluções do sistema dado.
Dessa forma, k e m são, necessariamente, tais que
Provas
Questão presente nas seguintes provas
Seja f uma função real de variável real tal que f(1) = -2 e diferenciável para todo x real com f '(x) ≤ 4.
O valor máximo de f(4) é
Provas
Questão presente nas seguintes provas
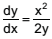
Considere a equação diferencial ordinária
, com
y(0) = -2.
O valor de y(3) é
Provas
Questão presente nas seguintes provas
Cadernos
Caderno Container