Foram encontradas 2.827 questões.

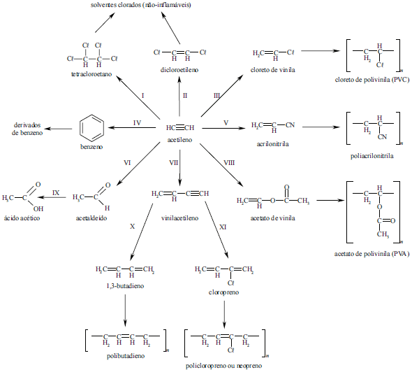
Um dos derivados de petróleo de grande importância industrial é o acetileno. A figura acima mostra alguns produtos de interesse industrial que podem ser obtidos a partir do acetileno. Tendo essa figura como referência, julgue o item subseqüente.
A adição de HCR ao cloreto de vinila produz principalmente 1,2-dicloroetano.
Provas
Questão presente nas seguintes provas
Entre as principais tecnologias de remediação recomendadas nos casos de derramamento de combustíveis, hidrocarbonetos voláteis e outros constituintes do petróleo, pode-se citar: biopilha, bioventilação, extração de contaminantes voláteis do solo, atenuação natural, dessorção térmica, biorremediação in situ, landfarming, air sparging, extração multifásica, fitorremediação e oxidação UV. Com relação a essas tecnologias, julgue o item que se segue.
A extração multifásica não é adequada para a remoção de derivados do petróleo das zonas insaturadas.
Provas
Questão presente nas seguintes provas
O programa PROÁLCOOL foi criado no Brasil em 1975, como uma alternativa energética ao petróleo. Nele, o álcool etílico era usado como aditivo à gasolina (álcool anidro) ou diretamente como combustível (álcool hidratado). Esse programa aumentou muito o interesse pelo processo de obtenção desse produto, devido à possibilidade de independência energética para o país. A produção de álcool nas usinas utiliza como matéria-prima uma solução de açúcar, conhecida por melaço, obtida a partir da canade- açúcar. Nesse processo, faz-se uma diluição do melaço até atingir uma concentração em açúcar inferior a 17%, passando a ser chamado de mosto. Este é fermentado com leveduras, dando origem ao vinho fermentado, que possui uma concentração em álcool de aproximadamente 10%. O vinho obtido é então destilado, em torres de pratos ou recheadas, sendo o álcool purificado até atingir concentrações que variam de 92% (álcool hidratado) a 99,3% (álcool anidro), conforme o produto desejado. Nesse processo, o vinho pode ser considerado como sendo uma mistura binária de álcool e água. A figura acima representa o diagrama de equilíbrio de fases da mistura binária álcool/água. Nota-se que esta é uma mistura azeotrópica, sendo a composição em álcool no ponto de azeótropo (c3) de aproximadamente 95,6 %.
Julgue o item a seguir, relativos ao processo de destilação da mistura binária água/álcool, descrito no texto acima.
Na figura, a região delimitada pelas duas curvas do diagrama indica as composições das fases líquida e vapor em equilíbrio, que podem ser quantificadas pela regra da alavanca.
Provas
Questão presente nas seguintes provas
Em relação a refino de petróleo, julgue o item que se segue.
O refino do petróleo consiste na separação de seus componentes por métodos físicos, tais como a destilação, a cristalização e a extração.
Provas
Questão presente nas seguintes provas
Na saída de um poço de petróleo, geralmente é obtida uma mistura trifásica de petróleo, água salgada e gás. A água e o gás podem ser provenientes tanto do poço quanto de processos secundários de recuperação do petróleo por injeção. Essa mistura pode ser facilmente separada em separadores trifásicos, dando origem a uma corrente de petróleo cru, outra de gás e uma última de água. No entanto, a fração do petróleo cru permanece ainda com quantidades consideráveis de água, que forma emulsões estáveis de difícil separação, bem como acontece com a de água, que mantém determinada quantidade de óleo.
Julgue o item a seguir, relativos à mistura e à emulsão de água e petróleo, bem como ao processo de purificação do petróleo cru, descrito no texto.
Um dos problemas da produção de petróleo em campos marítimos (offshore) é que os separadores trifásicos devem ser posicionados nas plataformas. Como esses dispositivos ocupam grandes espaços, acabam causando acréscimo considerável de tamanho das plataformas, aumentando, assim, o seu custo de fabricação.
Provas
Questão presente nas seguintes provas

Um dos derivados de petróleo de grande importância industrial é o acetileno. A figura acima mostra alguns produtos de interesse industrial que podem ser obtidos a partir do acetileno. Tendo essa figura como referência, julgue o item subseqüente.
A conversão de vinilacetileno em cloropreno (reação XI) segue a regra de Markownikoff.
Provas
Questão presente nas seguintes provas
Julgue o item subseqüente, relativos a perfuração e produção de poços de petróleo.
Durante a perfuração de um poço, é injetado um fluido — lama formada por água, argila e aditivos químicos — que tem por finalidades resfriar a broca, manter pressão ideal para a perfuração, estabilizar as paredes do poço, retirar os fragmentos de rocha gerados no processo e evitar a saída brusca de gás e petróleo quando atingido o reservatório.
Provas
Questão presente nas seguintes provas
Em relação a refino de petróleo, julgue o item que se segue.
Para a separação de compostos com pontos de ebulição próximos, pode-se usar o processo conhecido como destilação extrativa, o qual consiste na combinação de uma destilação fracionada com uma extração líquido-líquido.
Provas
Questão presente nas seguintes provas
Entre os primeiros países a explorar o fundo do oceano em busca do ouro negro, o Brasil desenvolveu tecnologia própria de prospecção e extração, necessitando para isso do emprego de equipamentos resistentes à corrosão provocada pela água do mar.
Scientific American, edição especial n.o 3, 2003 (com adaptações).
A corrosão é um processo eletroquímico e a do ferro é uma das mais preocupantes em construções marítimas por causa da presença do sal dissolvido na água, o que acelera o processo. Semi-reações importantes para avaliar esse fenômeno são apresentadas abaixo, com seus respectivos potenciais de redução (E). O símbolo E0 indica o potencial-padrão de redução.

Acerca do tema abordado no texto acima, julgue o item que se segue, considerando as informações apresentadas.
A deposição de ferrugem ocorre quando o seu produto de solubilidade é atingido.
Provas
Questão presente nas seguintes provas
Diversos processos industriais, tais como o de produção de amônia, o de fabricação de metanol, o Fisher-Tropsch e o OXO, usam uma mistura de monóxido de carbono e hidrogênio largamente conhecida como gás de síntese. Uma das rotas de obtenção do gás de síntese é pela reforma do gás natural (mistura de hidrocarbonetos saturados leves, essencialmente metano, e compostos de enxofre, principalmente H2S) com vapor de água em regime contínuo. Nesse processo, que opera a pressão constante e de forma contínua, em regime permanente, conforme ilustrado na figura abaixo, o gás natural (que, para simplificar, será aqui considerado uma mistura de apenas metano e H2S) passa inicialmente em um reator contendo um leito fixo de óxido de zinco aquecido (reator de dessulfurização), onde o composto de enxofre é completamente eliminado da corrente, ocorrendo a retenção do enxofre no leito. O metano entra e sai desse reator a uma temperatura de 400 ºC, que é idêntica àquela do leito de catalisador. Cada mol de metano !$ (\overline{M}=16\,g\cdot mol^{-1}) !$, completamente dessulfurizado, é misturado com 3,5 mols de vapor de água !$ (\overline{M}=18\,g\cdot mol^{-1}) !$, e essa nova mistura é aquecida até 800 ºC. Então, essa mistura passa em um reator contendo um leito fixo de Ni suportado (reator de reforma), o qual é mantido a uma temperatura constante de 800 ºC, em que o monóxido de carbono é formado com 90% de rendimento, com uma variação de entalpia de !$ \Delta H=+52\,kcal \cdot mol^{-1}) !$. Na saída desse reator, tem-se uma mistura gasosa, a uma temperatura de 800 ºC, composta pelo monóxido de carbono !$ (\overline{M}=28 \,g\cdot mol^{-1}) !$ e gás hidrogênio !$ (\overline{M}=2 \,g\cdot mol^{-1}) !$ produzidos e pelo metano e vapor de água residuais.

Com base no texto e na figura acima, que mostra o diagrama do processo de produção de gás de síntese, julgue o item a seguir, relativos ao processo de obtenção de gás de síntese.
O volume da mistura que sai do reator de reforma é 1,8 vez superior ao que entra nesse reator.
Provas
Questão presente nas seguintes provas
Cadernos
Caderno Container