Foram encontradas 820 questões.
No sistema de coordenadas cartesianas ortogonais xOy, a equação 4x2 + 16y2 + 8x – 64y + 4 = 0 representa
Provas
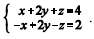
Assinale a opção correta com relação ao sistema de equações lineares ![]()
Provas
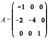
É correto afirmar que a matriz 
Provas
Considere o subespaço

Nesse caso, a dimensão de V é igual a
Provas
Considere
vetores no espaço R4 e seja V o subespaço de R4 gerado por esses 3 vetores. Nesse caso, a dimensão de V é igual a
Provas
Considere a função f definida por 
Essa função será continua em todos os reais se K for igual a
Provas
Considere uma função f :R→R, satisfazendo às seguintes condições:

Nessa situação, é correto afirmar que a função f
Provas
No sistema de coordenadas cartesianas ortogonais xOy, a equação da reta tangente ao gráfico da função y = x 2 , que é paralela à reta que contém os pontos (0, 0) e (2, 4) é dada por
Provas
A função
possui um ponto crítico em t 0 . Considerando 1,6 como valor aproximado de ln 5, então t 0 é igual a
Provas
Considere, em um sistema de coordenadas cartesianas ortogonais xOy, a região de área finita e limitada pelos gráficos das funções f(x) = x2 e g(x) = 9. Se a reta y = K divide essa região em duas partes de áreas iguais, então K é tal que
Provas
Caderno Container