Foram encontradas 820 questões.
As grandes indústrias automobilísticas fazem testes de colisão nos quais carros são arremessados contra paredes. Em alguns desses testes, os efeitos da colisão sobre um boneco, que simula a presença de um ser humano, são estudados na presença e na ausência de airbags.
Considerando o texto acima, assinale a opção correta, acerca de impulso e trabalho.
Provas
Em geral, os tanques dos caminhões que transportam combustível têm a forma de um cilindro reto em que a base é uma elipse. Em um projeto para a construção do tanque de um caminhão, a base elíptica do tanque e o tanque, são mostrados nas figuras abaixo, onde a unidade de medida no sistema de coordenadas é o metro e o valor de b dependerá da capacidade do tanque.

Se o tanque tiver capacidade para
, é correto afirmar que a equação da elipse que servirá de base para o tanque é
Provas
Texto para as questões 79 e 80
A plataforma P-43 da PETROBRAS é uma das maiores plataformas marítimas do mundo. Ela mede 337 m de comprimento e 65 m de altura e a sua produção é de 150 mil barris de óleo por dia.

A figura ao lado representa o ângulo de visão de um observador, que vê a plataforma e um barco de 31 m de comprimento sob um ângulo de 60º, estando o barco paralelo à plataforma. Nessa situação, considerando 1,7 como valor aproximado de
, é correto afirmar que a distância d, em metros, entre o barco e a plataforma é

Provas
- ConjuntosConceitos Gerais sobre ConjuntosSubconjuntos e Relação de Inclusão
- ConjuntosOperações com ConjuntosInterseção
Se A 1 = {2 , 4 , 6 , 8}, A 2 = {2 , 4 , 6 , 8 , 10 , 12 , 14 , 16} e A 3 = {8, 16} são subconjunto do conjunto dos números inteiros, então
Provas
Em determinado país, em que a moeda é simbolizada por L$, o imposto de renda é cobrado em função da renda mensal do trabalhador da seguinte forma:
I isento, se a renda mensal do trabalhador for igual ou inferior a L$ 10.000,00;
II 10% sobre a renda, menos L$ 1.000,00, se a renda mensal do trabalhador for superior a L$ 10.000,00 e inferior ou igual a L$ 20.000,00;
III 20% sobre a renda, se a renda mensal do trabalhador for superior a L$ 20.000,00.
Se, para uma renda mensal igual a L$ x, o trabalhador recolhe L$ I(x) de imposto, então é correto afirmar que
Provas
No intervalo
a quantidade de soluções da equação sen x + sen 2x = 0 é igual a
Provas
Se log a = X e log b = Y, então
Provas
O lucro, ou prejuízo, semanal, em reais, de uma loja que vende x unidades de determinado produto por semana é dado por
. Nessa situação, o lucro máximo da loja será obtido quando x for igual a
Provas
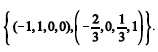
Uma base para o espaço-solução do sistema homogêneo de duas equações lineares a 4 incógnitas é ![]()
Provas
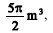
Considere o espaço euclidiano R2, munido de um sistema de coordenadas cartesianas ortogonais, em que a unidade de medida é o centímetro. Nesse caso, a região do plano representada pelo conjunto de desigualdades lineares
tem área igual a
Provas
Caderno Container