Foram encontradas 820 questões.

Provas

Provas
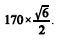
A partida estrela-triângulo é a maneira mais simples e barata de partida do motor de indução trifásico. Considerando que a voltagem por fase no funcionamento normal é V F , a voltagem nesse tipo de partida é igual a
Provas
Acerca das características do processo de soldagem ao arco submerso, SAW, assinale a opção incorreta.
Provas

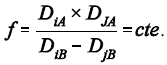
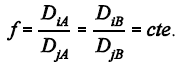
A análise da similaridade em máquinas hidráulicas é muito importante para estabelecer relações entre modelos e protótipos. As máquinas hidráulicas A e B, esquematizados nas figuras acima, serão geometricamente semelhantes se as dimensões correspondentes, D iA e D jA , D iB e D jB obedecerem a relação
Provas

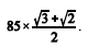
Considere a situação ilustrada na figura acima, em que dois
marinheiros devem arrastar, da esquerda para a direita um armário
de massa igual a 225 kg, por uma distância d = 8,5 m, sobre uma
superfície plana. O marinheiro A empurra o objeto com uma força
total FA = 10,0 N, que forma um ângulo de 30° em relação ao
plano horizontal, conforme ilustrado; o marinheiro B puxa o
armário com uma força FB = 10,0 N, cuja direção forma um
ângulo de 45º em relação ao plano horizontal, conforme
mostrado. Nessa situação, o trabalho, em joule, a ser realizado
pelo conjunto das forças FA e FB , para arrastar o referido armário
pela distância d = 8,50 m, é igual a
Provas
Texto para as questões de 77 a 80

No sistema massa-mola amortecido esquematizado na figura acima, M = 10 kg, K = 1.000 N/m e a constante de amortecimento C é igual a 10 kg/s.
Considerando o sistema em questão, o amortecimento crítico C C , em kg/s, é igual a
Provas
Texto para as questões de 77 a 80

No sistema massa-mola amortecido esquematizado na figura acima, M = 10 kg, K = 1.000 N/m e a constante de amortecimento C é igual a 10 kg/s.
O valor da freqüência natural não-amortecida, em Hz, é igual a
Provas
Texto para as questões de 73 a 76

Considere a viga e o respectivo carregamento, esquematizados na figura, cujas dimensões estão em mm.
Ainda com base no texto, assinale a opção correspondente ao diagrama de momento fletor da viga.
Provas
Texto para as questões de 73 a 76

Considere a viga e o respectivo carregamento, esquematizados na figura, cujas dimensões estão em mm.
Assinale a opção correspondente ao diagrama de esforço cortante da viga mostrada no texto.
Provas
Caderno Container