Foram encontradas 1.730 questões.
| Tabela A | |
| Classes | Freq. |
|
10-12 |
3 |
|
12-14 |
7 |
|
14-16 |
9 |
|
16-18 |
12 |
|
18-20 |
8 |
|
20-22 |
6 |
|
22-24 |
4 |
|
24-26 |
2 |
|
Tabela B |
|
|
Classes |
Freq. |
|
2-4 |
1 |
|
4-6 |
4 |
|
6-8 |
5 |
|
8-10 |
7 |
|
10-12 |
10 |
|
12-14 |
13 |
|
14-16 |
17 |
|
16-18 |
21 |
|
18-20 |
18 |
|
20-22 |
15 |
|
22-24 |
11 |
|
24-26 |
9 |
|
26-28 |
6 |
|
28-30 |
3 |
| 30-32 | 2 |
Com base nas tabelas de frequência A e B apresentadas anteriormente, julgue o item a seguir.
Considerando a aproximação das séries A e B para uma Curva Normal, a probabilidade de os valores de ambas as distribuições estarem entre aproximadamente dois desvios-padrão de suas respectivas médias é de 95%.
Provas
|
|
Com base nas tabelas de frequência A e B apresentadas anteriormente, julgue o item a seguir.
O desvio-padrão da série B é menor do que o desvio-padrão da série A.
Provas
Disciplina: TI - Redes de Computadores
Banca: CESPE / CEBRASPE
Orgão: Petrobrás

Considerando que a figura anterior mostra o layout de um container, julgue o próximo item.
Na situação em tela, a cultura DevOps permite simplificar a implantação e o gerenciamento eficiente de containers.
Provas
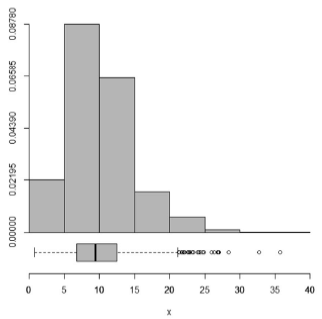
A figura seguinte mostra o histograma como uma estimativa da função de densidade de uma distribuição X, juntamente com o diagrama boxplot correspondente a esse conjunto de dados.

|
tamanho da amostra |
1.000 |
|
média amostral |
10 |
|
desvio padrão amostral |
4,7 |
Considerando a figura e as informações apresentadas no quadro, julgue o item que se segue.
O percentual das observações tais que !$ [0,6 \le x \le 19,4] !$ é igual ou inferior a 70%.
Provas
Considere três campos de exploração de petróleo, A, B e C, e v = (nA, nB, nC ) como um vetor em que as 3 coordenadas representam, respectivamente, as quantidades de poços de extração nesses campos. Suponha, ainda, que os vetores na tabela a seguir representem as respectivas médias diárias de barris extraídos por poço em cada um dos campos nos 3 primeiros meses de 2021.
|
janeiro/2021 |
u1 = (4, 5, 4) |
|
fevereiro/2021 |
u2 = (5, 3, 2) |
|
março/2021 |
u3 = (3, 6, 4) |
Com relação a essa situação hipotética, julgue o item a seguir.
Se !$ | . |_1e | . |_2 !$ representarem, respectivamente, as normas L1 e L2 em R3, então !$ 2.|u_1 -u_2|_2 <|u_2 - u_1|_1 !$.
Provas
O volume instantâneo de petróleo, em metros cúbicos por hora (m3/h), produzido por um poço no instante t horas, dentro das primeiras 24 horas de operação, é dado pela função !$ f(t) = a.(300 -12 t^2 + t^3) !$, com !$ 0 \le t \le 24 !$, em que 0 < α < 1 é uma constante positiva e t = 0 corresponde ao instante inicial em que o poço iniciou a sua produção.
Com base nessas informações hipotéticas, julgue o próximo item.
O volume instantâneo mínimo ocorre após t = 6 horas.
Provas
Disciplina: TI - Ciência de Dados e BI
Banca: CESPE / CEBRASPE
Orgão: Petrobrás
Um usuário deseja importar para o Python, por meio do módulo Pandas, o arquivo no formato csv de nome pesquisa.csv, cujo conteúdo é mostrado a seguir. Esse arquivo se encontra no diretório (ou pasta ou caminho) D:/.
|
05/06/2008,16:00,2.5788,2.5813,,, |
|
05/06/2008,16:15,2.5768,2.5793,,, |
|
05/06/2008,16:30,2.5744,2.5769,,, |
|
05/06/2008,16:45,2.574,2.5765,,, |
|
05/06/2008,17:00,2.571,2.5735,,, |
|
05/06/2008,17:15,2.5733,2.5758,,, |
|
05/06/2008,17:30,2.5728,2.5753,,, |
|
05/06/2008,17:45,2.5727,2.5752,,, |
|
05/06/2008,18:00,2.5788,2.5813,,, |
|
05/06/2008,18:15,2.5731,2.5756,,, |
|
05/06/2008,18:30,2.5743,2.5768,,, |
Considerando essas informações, julgue o próximo item.
O código abaixo permite importar apenas a última linha das duas primeiras colunas do arquivo pesquisa.csv.
import os
os.chdir('D:/')
import pandas
dados=pandas.read_csv('pesquisa.csv',
header=None,usecols=[1,2],
skiprows = range(1,9))
Provas
Disciplina: TI - Ciência de Dados e BI
Banca: CESPE / CEBRASPE
Orgão: Petrobrás
Com respeito a métodos para imputação de dados, julgue o seguinte item.
O método de imputação K-NN (k-nearest neighbours) leva em consideração os padrões de similaridade presentes no conjunto de dados para predizer os valores faltantes. No entanto, a escolha da função de distância para a aplicação desse método, como, por exemplo, HEOM (heterogeneous euclidean-overlap metric) ou HVDM (heterogeneous value difference metric), pode influenciar significativamente nos resultados da imputação.
Provas

Considerando a figura precedente, que mostra desenhos esquemáticos das distribuições das quantidades de cargas perdidas nos anos de 2020 e 2021, segundo o tipo de carga transportada por uma mineradora, julgue o item que se segue.
Na distribuição da quantidade de carga do tipo A perdida em 2020, observa-se que o primeiro quartil foi superior a 100 kg, enquanto o terceiro quartil foi inferior a 50 kg.
Provas
Considerando uma série temporal representada por {Xt}, julgue o item a seguir.
Se a série temporal for gerada por um processo na forma
!$ X_t = \varepsilon_t - X_{t-1} !$,
!$ \varepsilon_t !$no qual representa um ruído branco com média zero e desvio padrão igual a 1, então a variância de Xt será igual a 0,5.
Provas
Caderno Container