Foram encontradas 1.132 questões.

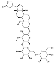
Acerca de opioides de uso clínico, a exemplo da morfina e do fentanil, cujas moléculas estão apresentadas na figura precedente, julgue os itens seguintes.
O fentanil é um agonista opioide, de alta lipofilicidade, com potência até 100 vezes maior que a morfina no efeito analgésico.
Provas

Acerca de opioides de uso clínico, a exemplo da morfina e do fentanil, cujas moléculas estão apresentadas na figura precedente, julgue os itens seguintes.
Na estrutura do fentanil, diferentemente da estrutura da morfina, há uma amina secundária, e não um éster.
Provas
Julgue os próximos itens, referentes aos princípios do planejamento e avaliação das necessidades nutricionais de indivíduos, considerando as Dietary Reference Intakes (DRIs) e demais recomendações nutricionais vigentes.
A ingestão diária recomendada de cálcio para adultos saudáveis é de aproximadamente 300 mg, quantidade suficiente para atender às necessidades ósseas e metabólicas da maioria da população.
Provas
A Agência Nacional de Vigilância Sanitária (ANVISA) proibiu, em 2022, qualquer produto que contenha noz-da-índia (Aleurites moluccanus) e chapéu-de-napoleão (Thevetia peruviana). Esses produtos têm sido comercializados e divulgados irregularmente com indicações de emagrecimento, porém podem apresentar cardiotoxicidade. A tevetina A, cuja molécula é ilustrada pela figura a seguir, é um composto encontrado nesses produtos.

A partir dessas informações, julgue os itens a seguir, relativos a drogas com ação cardiovascular.
A digoxina, um cardiotônico, possui absorção rápida no organismo, e por isso, em casos de intoxicação não é usado carvão ativado.
Provas
Julgue os itens subsequentes, relativos a doenças endócrinas.
Os agonistas dos receptores GLP-1, usados no tratamento de diabetes e obesidade, provocam, por exemplo, saciedade, lentidão do esvaziamento gástrico e redução do glucagon.
Provas
Julgue os itens subsecutivos, a respeito de doenças renais e urológicas.
É neutro, ou mesmo reduzido, o risco de formação de cálculos de oxalato de cálcio em homens que fazem uso de suplementos com vitamina C.
Provas
Acerca das fontes alimentares, da recomendação de presença de fibras na alimentação humana e do consumo desse tipo de nutriente, julgue os itens subsecutivos.
Apesar dos benefícios associados ao consumo de fibras, sua ingestão excessiva — acima de 70 g por dia — pode interferir na absorção de minerais como cálcio, ferro e zinco, especialmente quando a dieta é pobre em fontes desses micronutrientes.
Provas
Disciplina: Administração de Recursos Materiais
Banca: CESPE / CEBRASPE
Orgão: PF
A respeito da classificação de materiais e de gestão de estoques, julgue os itens que se seguem.
Pela metodologia de cálculo da curva ABC, há possibilidade de que itens de alto valor unitário não sejam classificados como itens da classe A.
Provas
A respeito de artroplastia e artrodese, julgue os itens subsecutivos.
A principal indicação para artroplastia total reversa do ombro é o manguito rotador não funcional com perda excessiva de osso da glenoide.
Provas
Uma paciente de 44 anos de idade foi atendida em consulta ambulatorial. Relatou diagnóstico de síndrome do túnel do carpo, hipertensão arterial sistêmica (HAS) e diabetes do tipo 2 (DM2) havia cinco anos, em uso regular de anlodipino, enalapril, hidroclorotiazida, metformina e vildagliptina nas doses máximas preconizadas. Ela mencionou lombalgia e hiperidrose. Ao exame físico, apresentava hiperlordose lombar, prognatismo mandibular, circunferência abdominal de 98 cm, pressão arterial de 154 mmHg × 98 mmHg (média de três medidas) e frequência cardíaca de 60 bpm, além de dor e limitação articular na região lombar. Os demais achados do exame físico mostraram-se normais. Foram pedidos alguns exames laboratoriais de rotina cujos resultados revelaram: triglicerídeos de 198 mg/dl, colesterol total de 240 mg/dl; HDL colesterol de 30 mg/dl, LDL colesterol de 170 mg/dl, glicemia de jejum de 150 mg/dl e hemoglobina glicada de 8%. Os demais exames não revelaram anormalidades significativas e o eletrocardiograma obtido é apresentado a seguir.

Acerca desse caso clínico hipotético, julgue os itens a seguir.
O diagnóstico etiológico será elucidado com a dosagem das metanefrinas urinárias de 24 horas.
Provas
Caderno Container