Foram encontradas 405 questões.
Considere os seguintes tipos de ataque:
I. Estes métodos tornaram-se populares como um vetor automático de infecção, podendo até serem comprados ou alugados em mercados ilegais. São usados primariamente para distribuir malware padronizado, explorando sistemas vulneráveis para acionar um download drive-by. Em termos simples, eles tentam detectar uma vulnerabilidade em um aplicativo relacionado a um navegador e depois explorá-la para baixar e executar um payload malicioso.
II. Este software usa um computador, de forma não autorizada, para minerar criptomoedas. Os possíveis vetores de infecção incluem scripts de mineração injetados de websites e entrega como parte de um estágio posterior em ciberataques. Com frequência têm como alvo servidores de alta potência em ambiente corporativo para maximizar suas atividades de mineração. Esta atividade maliciosa tende a aumentar ou diminuir, dependendo do preço das criptomoedas.
III. É um malware entregue por e-mail e usa um formato de campanha. As campanhas variam desde usar alvos abrangentes e indiscriminados até alvos altamente específicos e sofisticados, com foco em pessoas importantes. Usar temas oportunos como a Covid-19 como assunto para uma campanha com alto volume de alvos aumenta a probabilidade de uma infecção bem-sucedida.
(Disponível em: https://www.blackberry.com)
Os ataques I, II e III são, correta e respectivamente, denominados
Provas
Considere os comandos:
I. yum install opendlap opendlap-clients opendlap-servers
II. apt-get update apt-get install slapd ldap-utils ldapscripts
É correto afirmar:
Provas
Um Técnico em Gestão Procuratorial precisa acessar o Prompt de Comando como administrador em um computador com o sistema operacional Windows 10, em português, funcionando em condições ideais. Considere as formas de realizar este acesso elencadas a seguir:
I. Digitar cmd na barra de pesquisa do Windows e, na janela que se abre, clicar em Executar como administrador.
II. Pressionar as teclas Windows + E, digitar cmd e pressionar a tecla Enter. Na janela que se abre, digitar run as administrator.
III. Abrir o Gerenciador de Tarefas com mais detalhes. Abrir o menu Arquivo e escolher Executar nova tarefa. Digitar cmd e clicar em OK para abrir o prompt de comando. Marcar a opção Criar esta tarefa com privilégios administrativos.
IV. Abrir o Explorador de Arquivos, digitar na barra de pesquisas C:WindowsSystem32. Clicar duas vezes no arquivo cmd.exe ou clicar com o botão esquerdo neste arquivo e escolher Executar como administrador.
Para realizar o que pretende de forma correta, o Técnico deve escolher as opções
Provas
Considere o código em C abaixo, de um programa que não apresenta erros.

Considere que o programa foi executado em condições ideais e apresentou na tela as 5 impressões relativas aos comandos printf. Considere, ainda, que os números de 1 a 5, à esquerda, não fazem parte do código e indicam a ordem dos comandos de impressão. A alternativa que traz uma impressão correta, correspondente ao comando de impressão indicado, é:
Provas
Considere o código em C# abaixo, que não contém erros.

Para que o tratamento de exceções possa ser corretamente aplicado no trecho de código acima, as lacunas I, II e III devem ser preenchidas com
Provas
Considere o trecho de código em Java abaixo.

Considerando os conceitos de orientação a objetos e o código Java, é correto afirmar:
Provas
- Compilação e Interpretação de CódigoCompilação
- Fundamentos de ProgramaçãoEstruturas de Repetição
- Fundamentos de ProgramaçãoEstruturas de Seleção
- Fundamentos de ProgramaçãoVariáveis
Em relação aos fundamentos das linguagens de programação, é correto afirmar:
Provas
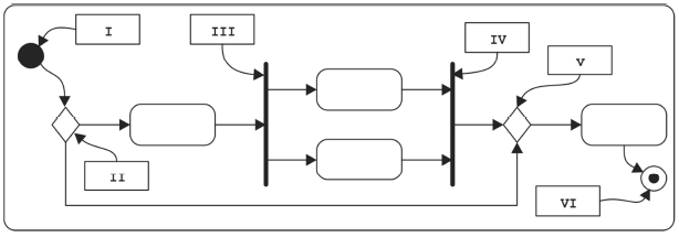
Considere o seguinte diagrama UML 2.5.

Neste diagrama estão indicados alguns de seus elementos. O nome do diagrama e os nomes dos elementos de II a V são, correta e respectivamente, indicados em:
Provas
O modelo de Referência MPS para Software (MR-MPS-SW) trabalha com 12 processos, 7 níveis de maturidade e 9 capacidades de processo. No MR-MPS-SW, em um determinado nível, os processos que já eram executados como um processo definido e adaptável, passam a ser executados de forma previsível, sendo executados obedecendo a limites predefinidos que os levam na direção do atingimento de seus resultados. Neste nível, é introduzida a oitava capacidade de processo, que se refere às técnicas estatísticas e outras técnicas quantitativas, que são utilizadas para determinar ou prever o alcance de objetivos de qualidade e de desempenho dos processos. Trata-se de
Provas
- Gestão de ServiçosITILITIL v4SVS: Sistema de Valor de Serviço (ITILv4)
- Governança de TICriação de Valor em Governança de TI
Durante um estudo comparativo entre práticas de gestão de infraestrutura, um Técnico observou que a ITIL V4 se ocupa em definir quatro dimensões essenciais no processo de cocriação de valor para clientes e outras partes interessadas. Uma dessas dimensões é:
Provas
Caderno Container