Magna Concursos

Foram encontradas 60 questões.

1547540 Ano: 2005
Disciplina: Português
Banca: FJPF
Orgão: PM-RO
Provas:

razão da grande dificuldade de combater a criminalidade, segundo a citação (3) está prioritariamente no(na):

 

Provas

Questão presente nas seguintes provas
1547539 Ano: 2005
Disciplina: Português
Banca: FJPF
Orgão: PM-RO
Provas:

TEXTO – CITAÇÕES

(1) É melhor prevenir os crimes do que puni-los.

Beccaria

(2) Cometeu o crime quem dele recebeu benefícios.

Sêneca

(3) A luta contra a criminalidade organizada é muito difícil, porque a criminalidade é organizada, mas nós não.

Amurri

(4) Alguns tiveram a forca como preço pelo próprio crime, outros, a coroa.

Juvenal

(5) Só a violência ajuda onde a violência impera.

Brecht

Na citação (2) o uso da preposição de em "dele" provém da presença na mesma frase do verbo "receber" (receber algo de alguém); a frase em que o emprego da preposição em destaque está errado é:

 

Provas

Questão presente nas seguintes provas
1547538 Ano: 2005
Disciplina: Português
Banca: FJPF
Orgão: PM-RO
Provas:

A alternativa em que a concordância dos tempos verbais não está correta é:

 

Provas

Questão presente nas seguintes provas
1547537 Ano: 2005
Disciplina: Português
Banca: FJPF
Orgão: PM-RO
Provas:

Segundo a citação (2), o motivo maior de um crime é:

 

Provas

Questão presente nas seguintes provas
1547536 Ano: 2005
Disciplina: Português
Banca: FJPF
Orgão: PM-RO
Provas:

A citação (1) recomenda que as autoridades, em relação ao crime, cuidem prioritariamente do(da):

 

Provas

Questão presente nas seguintes provas
1547535 Ano: 2005
Disciplina: Português
Banca: FJPF
Orgão: PM-RO
Provas:

Na citação (1) o pronome los refere-se ao substantivo "crimes", anteriormente expresso; a alternativa em que a forma do pronome da frase está inadequada é:

 

Provas

Questão presente nas seguintes provas
1547534 Ano: 2005
Disciplina: Português
Banca: FJPF
Orgão: PM-RO
Provas:

A citação (1) pode ser reescrita de diversos modos; a alternativa que mostra um modo de reescrever a citação que altera o seu sentido original é:

 

Provas

Questão presente nas seguintes provas
1547533 Ano: 2005
Disciplina: Português
Banca: FJPF
Orgão: PM-RO
Provas:

(1) É melhor prevenir os crimes do que puni-los.

Beccaria

(2) Cometeu o crime quem dele recebeu benefícios.

Sêneca

(3) A luta contra a criminalidade organizada é muito difícil, porque a criminalidade é organizada, mas nós não.

Amurri

(4) Alguns tiveram a forca como preço pelo próprio crime, outros, a coroa.

Juvenal

(5) Só a violência ajuda onde a violência impera.

Brecht

Todas as frases acima abordam o tema do crime e da violência; a citação que contraria o pensamento de que "o crime não compensa" é:

 

Provas

Questão presente nas seguintes provas
1140769 Ano: 2005
Disciplina: Matemática
Banca: FJPF
Orgão: PM-RO
Provas:

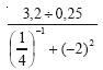
O resultado da expressão numérica Enunciado 3300811-1 é:

 

Provas

Questão presente nas seguintes provas
1025853 Ano: 2005
Disciplina: História
Banca: FJPF
Orgão: PM-RO
Provas:

Na modernidade, o marco mais significativo no reconhecimento dos Direitos Humanos é:

 

Provas

Questão presente nas seguintes provas