Foram encontradas 1.033 questões.
- Química OrgânicaCadeias Carbônicas
- Química OrgânicaFunções Oxigenadas: Álcool, Fenol e Enol
- Química OrgânicaFunções Oxigenadas: Cetona, Aldeído, Éter, Éster, Ácido Carboxílico etc.
- Química OrgânicaPropriedades Físicas dos Compostos Orgânicos

A cicutoxina, cuja molécula está representada na figura precedente, é uma substância venenosa encontrada em plantas de espécies apiáceas do gênero cicuta. Com base em sua estrutura química, assinale a opção correta.
Provas

Os haletos de alquila estão entre as várias classes de substâncias orgânicas que são empregadas como armas químicas. Com base nas estruturas químicas I, II, III e IV mostradas na figura precedente, assinale a opção correta acerca das propriedades químicas e físicas de haletos de alquila.
Provas
- Química InorgânicaSoluções e Substâncias InorgânicasSoluções: características, tipos de concentração, diluição, mistura, titulação e soluções coloidais
- Sistemas de EquilíbrioSistemas Homogêneos: Equilíbrio Químico na Água
- Sistemas de EquilíbrioSistemas Homogêneos: Solubilidade dos Sais, Hidrólise dos Sais e Curvas de Titulação.

Uma amostra de 50 mL de água recolhida de um aquário contendo
dezenas de peixes mortos foi titulada com ácido clorídrico
0,01 mol/L. A curva do pH × volume de HC
obtida para essa
titulação é mostrada acima. A partir dessas informações
e considerando que, nessa amostra de água, apenas uma das
substâncias — para as quais os valores das constantes de
dissociação ácida (Ka) ou básica (Kb) são fornecidos — está
presente, assinale a opção que indica, corretamente, a substância
titulada.
Provas

Considere que o módulo do momento de dipolo entre uma ligação O–H na molécula de água representada na figura precedente seja igual a 1,59 Debye (D). Sendo cos (52,25°) = 0,6 e sen (52,25°) = 0,8, o momento de dipolo p da molécula de água pode ser expresso pela relação
Provas
Provas
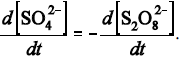
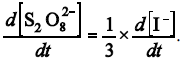
Texto 5A3AAA
experimento |
concentração inicial (mol.L–1) /S2O82- I- |
velocidade inicial (mol.L-1 .s-1) |
|
1 |
0,15 |
0,20 |
1,1 |
2 |
0,30 |
0,20 |
2,2 |
3 |
0,30 |
0,10 |
1,1 |
A tabela acima apresenta a velocidade inicial da reação seguinte em função das concentrações iniciais dos reagentes. S2 O8 2- (aq) + 3 I- (aq) -> 2 SO42- (aq) + I3- (aq)
Provas
Provas
- FundamentosPropriedades das Substâncias
- Química InorgânicaGeometria Molecular, Polaridade e Forças Intermoleculares
Provas
- FundamentosLigações Químicas
- FundamentosPropriedades das Substâncias
- Gases
- Química CinéticaRepresentação das Transformações Químicas
- Química CinéticaTransformações Químicas
- Química InorgânicaGeometria Molecular, Polaridade e Forças Intermoleculares
- Química InorgânicaSoluções e Substâncias InorgânicasSubstâncias Inorgânicas: dissociação iônica e ionização, conceitos de ácido-base
Provas
- FundamentosPropriedades das Substâncias
- Química InorgânicaGeometria Molecular, Polaridade e Forças Intermoleculares
Provas
Caderno Container