Foram encontradas 690 questões.
Em relação aos indicadores financeiros, assinale V para a afirmativa verdadeira e F para a falsa.
( ) A Rentabilidade indica o percentual de retorno do investimento realizado na empresa, representando a relação entre o lucro líquido e o capital investido. ( ) Um exemplo de endividamento no âmbito de uma empresa, representa a tomada de capital dos sócios que detêm uma parcela desta organização. ( ) Ativo é utilizado para expressar os bens, valores, créditos, direitos e semelhantes que, num determinado momento, formam o patrimônio de uma empresa. ( ) Os índices de liquidez de um empresa são associados aos ativos circulantes e passivos circulantes, sendo os ativos circulantes aqueles que possuem maiores graus em liquidez. Como exemplos de ativos circulantes pode-se citar dinheiro em caixa ou depositado em banco, estoques, pagamentos de salários e financiamentos.
As afirmativas são, respectivamente,
Provas
As figuras a seguir apresentam curvas tensão versus deformação obtidas em ensaios de tração de dois materiais distintos.

As curvas (1) e (2) podem representar, respectivamente,
Provas
Provas
Provas
Relacione os elementos a seguir com o tipo de tratamento de efluentes líquidos a que pertencem.
1. Caixa de areia
2. Lodo ativado
3. Lama de cal
( ) físico
( ) químico
( ) biológico
Assinale a opção que indica a associação correta, na ordem apresentada.
Provas
Provas
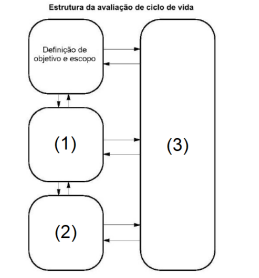
A figura a seguir apresenta a interligação entre as fases de uma avaliação de ciclo de vida (ACV), de acordo com a ISO 14040:2009

As fases indicadas por (1), (2) e (3) na figura correspondem, respectivamente, a
Provas
1. Proteção 2. Exclusão 3. Regulação 4. Erradicação
( ) Visa eliminar o patógeno já estabelecido em determinado local, podendo ser parcial ou total. ( ) Consiste na interposição de uma barreira, seja física, química ou biológica entre o hospedeiro suscetível e o patógeno. ( ) Consiste na alteração do ambiente, tornando-o desfavorável à ação do patógeno. ( ) Visa impedir a entrada do patógeno e seu estabelecimento em determinada área, quebrando o ciclo da doença na fase de disseminação.
Assinale a opção que indica a relação correta, na ordem apresentada.
Provas
I. A propagação vegetativa é estratégia usual e recomendada para produção de mudas de espécies que apresentam restrição à propagação sexuada, assim como aquelas que serão utilizadas na recuperação de áreas, onde se deseja alta variabilidade genética. II. A enxertia é a técnica de propagação vegetativa mais empregada na obtenção de mudas florestais clonais, dada a sua aplicabilidade técnica, operacional e custo de produção competitivo em relação às demais técnicas de propagação assexuada. III. A propagação vegetativa tem como consequência a reprodução do genótipo do indivíduo de onde foram retirados os propágulos, normalmente mantendo a fidelidade genética, destacando-se neste processo a propriedade da totipotência celular que permite a produção de uma planta completa.
Está correto o que se afirma em
Provas
I. A madeira incha com o aumento da umidade. II. A madeira retrai com o aumento da umidade. III. A retração na direção tangencial é maior que a retração na direção radial. IV. A retração na direção longitudinal é maior que a retração na direção tangencial. V. A retração volumétrica é aproximadamente igual a soma das três retrações lineares ortogonais.
As afirmativas corretas são
Provas
Caderno Container