Foram encontradas 690 questões.
Em casos de crime de estupro, a detecção da presença de sêmen
humano é um fator de grande auxílio nas investigações forenses.
Com relação ao sêmen humano, analise os itens a seguir:
I. O sêmen é formado por espermatozoides e secreções provenientes das glândulas acessórias – próstata, vesículas seminais e bulbouretrais. II. A próstata produz um líquido que contém nutrientes para o metabolismo dos espermatozoides; as glândulas bulbouretrais contribuem com substâncias para neutralizar o meio geralmente ácido da vagina; as vesículas seminais contribuem com substrato energético para o espermatozoide e com prostaglandinas que influenciam sua motilidade e transporte. III. A enzima fosfatase ácida é produzida nos epidídimos, sendo encontrada em quantidade extremamente elevada no esperma humano. Essa enzima pode ser utilizada em investigações forenses para identificar a presença de sêmen em casos de abuso sexual, mesmo quando o suspeito é vasectomizado.
Está correto o que se afirma em
I. O sêmen é formado por espermatozoides e secreções provenientes das glândulas acessórias – próstata, vesículas seminais e bulbouretrais. II. A próstata produz um líquido que contém nutrientes para o metabolismo dos espermatozoides; as glândulas bulbouretrais contribuem com substâncias para neutralizar o meio geralmente ácido da vagina; as vesículas seminais contribuem com substrato energético para o espermatozoide e com prostaglandinas que influenciam sua motilidade e transporte. III. A enzima fosfatase ácida é produzida nos epidídimos, sendo encontrada em quantidade extremamente elevada no esperma humano. Essa enzima pode ser utilizada em investigações forenses para identificar a presença de sêmen em casos de abuso sexual, mesmo quando o suspeito é vasectomizado.
Está correto o que se afirma em
Provas
Questão presente nas seguintes provas
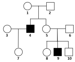
Observe o heredograma a seguir. Nele, os indivíduos que estão
marcados em preto são hemofílicos.

A hemofilia é uma doença genética cuja herança é

A hemofilia é uma doença genética cuja herança é
Provas
Questão presente nas seguintes provas
Na ação de investigação de paternidade ajuizada por uma mãe na
década de 1950, o vínculo genético não pôde ser comprovado.
Baseado em prova pericial, a tecnologia existente na época
revelou-se insuficiente para determinar a suposta paternidade. A
perícia realizada com a mãe e com o filho comprovou que ambos
tinham tipo sanguíneo A, Rh positivo, enquanto o homem
pertencia ao grupo sanguíneo B, RH negativo.
Décadas depois, já tendo alcançado a maioridade, o filho ajuizou nova ação de investigação de paternidade, colocando em dúvida o resultado da primeira perícia e pretendendo a comprovação mediante a realização de exame de DNA, que fornece certeza de 99,9% em seu resultado.
Com relação ao caso descrito e à herança dos grupos sanguíneos, analise os itens a seguir:
I. Em casos de dúvidas na paternidade, a tipagem de sangue ABO e Rh pode ser usada para excluir um homem de ser o pai de uma criança, mas não pode ser usada para confirmar se um homem é, de fato, o pai.
II. Se a mãe e o filho têm sangue tipo A, Rh positivo, o pai pode pertencer a qualquer grupo sanguíneo do sistema ABO (A, B, AB e O), e a qualquer grupo Rh (positivo ou negativo).
III. A tipagem sanguínea e o exame de DNA estão baseados na análise de moléculas componentes dos elementos figurados do sangue, como as moléculas presentes nos eritrócitos.
Está correto o que se afirma em
Décadas depois, já tendo alcançado a maioridade, o filho ajuizou nova ação de investigação de paternidade, colocando em dúvida o resultado da primeira perícia e pretendendo a comprovação mediante a realização de exame de DNA, que fornece certeza de 99,9% em seu resultado.
Com relação ao caso descrito e à herança dos grupos sanguíneos, analise os itens a seguir:
I. Em casos de dúvidas na paternidade, a tipagem de sangue ABO e Rh pode ser usada para excluir um homem de ser o pai de uma criança, mas não pode ser usada para confirmar se um homem é, de fato, o pai.
II. Se a mãe e o filho têm sangue tipo A, Rh positivo, o pai pode pertencer a qualquer grupo sanguíneo do sistema ABO (A, B, AB e O), e a qualquer grupo Rh (positivo ou negativo).
III. A tipagem sanguínea e o exame de DNA estão baseados na análise de moléculas componentes dos elementos figurados do sangue, como as moléculas presentes nos eritrócitos.
Está correto o que se afirma em
Provas
Questão presente nas seguintes provas
O envelope nuclear está diretamente ligado ao extenso sistema de
membranas intracelulares chamado retículo endoplasmático (RE),
que se estende do núcleo ao citoplasma. Para satisfazer demandas
funcionais diferentes, regiões distintas de retículo endoplasmático
(RE) tornam-se altamente especializadas e diferentes tipos
celulares podem, portanto, possuir caracteristicamente diversos
tipos de membrana do RE. (ALBERTS, B et al. Biologia molecular da
célula. 2017)
A figura a seguir mostra, de maneira esquematizada, duas regiões do RE que podem ser observadas nas células eucarióticas.

Com relação à figura e às diferentes funções desempenhadas pelo RE, assinale V para a afirmativa verdadeira e F para a falsa.
( ) Nos hepatócitos humanos, a região II possui enzimas responsáveis pelos processos de oxidação necessários à desintoxicação de várias substâncias, como álcool e certas drogas, antes de sua excreção pelo organismo.
( ) Nas células secretoras do ovário e do testículo, a região I encontra-se bem desenvolvida e participa da síntese de moléculas de esteroides.
( ) Em células musculares estriadas, a região II recebe o nome de retículo sarcoplasmático. Nessas células, o RE acumula íons cálcio e, quando uma célula do músculo é estimulada por um impulso nervoso, esses íons são liberados no citosol, promovendo a contração celular.
As afirmativas são, respectivamente,
A figura a seguir mostra, de maneira esquematizada, duas regiões do RE que podem ser observadas nas células eucarióticas.

Com relação à figura e às diferentes funções desempenhadas pelo RE, assinale V para a afirmativa verdadeira e F para a falsa.
( ) Nos hepatócitos humanos, a região II possui enzimas responsáveis pelos processos de oxidação necessários à desintoxicação de várias substâncias, como álcool e certas drogas, antes de sua excreção pelo organismo.
( ) Nas células secretoras do ovário e do testículo, a região I encontra-se bem desenvolvida e participa da síntese de moléculas de esteroides.
( ) Em células musculares estriadas, a região II recebe o nome de retículo sarcoplasmático. Nessas células, o RE acumula íons cálcio e, quando uma célula do músculo é estimulada por um impulso nervoso, esses íons são liberados no citosol, promovendo a contração celular.
As afirmativas são, respectivamente,
Provas
Questão presente nas seguintes provas
Em certas investigações forenses, como na suspeita de abuso
sexual, a identificação do tipo de célula epitelial presente na
amostra biológica forneceria provas comprobatórias importantes.
Nesse sentido, estudos vêm sendo realizados para desenvolver
técnicas que permitam diferenciar células da epiderme de células
de mucosas (bucal e vaginal). Um desses trabalhos utiliza como
marcador celular a proteína citoqueratina, presente no
citoesqueleto das células.
A citoqueratina é uma das proteínas que forma os
A citoqueratina é uma das proteínas que forma os
Provas
Questão presente nas seguintes provas
Apesar de não ser determinante para a conclusão final de uma
investigação criminal, a tipagem sanguínea pode ser de grande
auxílio para eliminar suspeitos com tipo sanguíneo diferente
daquele encontrado na cena do crime.
O exame deve ser feito por meio de prova direta, onde o sangue do suspeito será testado com o uso de soro anti-A, anti-B, anti-A,B e anti-D e, em seguida, confirmada através de prova indireta (em que o sangue será testado com o uso de hemácias tipadas A e B).
A figura a seguir mostra o resultado do exame de um suspeito de um crime.

Com relação à técnica de tipagem sanguínea e ao resultado apresentado, assinale V para a afirmativa verdadeira e F para a falsa.
( ) A prova direta pesquisa aglutininas no soro do suspeito, enquanto a prova indireta pesquisa aglutinogênios em suas hemácias.
( ) Para a classificação rotineira do RhD não há prova reversa, pois os indivíduos não apresentam naturalmente anticorpos séricos contra o antígeno RhD.
( ) O resultado acima mostra que o suspeito apresenta sangue do tipo O +, que é considerado receptor universal.
As afirmativas são, respectivamente,
O exame deve ser feito por meio de prova direta, onde o sangue do suspeito será testado com o uso de soro anti-A, anti-B, anti-A,B e anti-D e, em seguida, confirmada através de prova indireta (em que o sangue será testado com o uso de hemácias tipadas A e B).
A figura a seguir mostra o resultado do exame de um suspeito de um crime.

Com relação à técnica de tipagem sanguínea e ao resultado apresentado, assinale V para a afirmativa verdadeira e F para a falsa.
( ) A prova direta pesquisa aglutininas no soro do suspeito, enquanto a prova indireta pesquisa aglutinogênios em suas hemácias.
( ) Para a classificação rotineira do RhD não há prova reversa, pois os indivíduos não apresentam naturalmente anticorpos séricos contra o antígeno RhD.
( ) O resultado acima mostra que o suspeito apresenta sangue do tipo O +, que é considerado receptor universal.
As afirmativas são, respectivamente,
Provas
Questão presente nas seguintes provas
Para a detecção de impressões digitais latentes podem ser
utilizadas diversas técnicas, onde substâncias corantes interagem
com componentes do suor deixado em um objeto ou superfície.
Para o caso de superfícies porosas, como papel e paredes de
alvenaria, costuma-se utilizar o método da ninidrina, substância
que reage com certas moléculas orgânicas presentes no suor,
resultando em um produto de coloração púrpura.
A ninidrina detecta um grupo funcional que contém nitrogênio, encontrado tipicamente em moléculas de
A ninidrina detecta um grupo funcional que contém nitrogênio, encontrado tipicamente em moléculas de
Provas
Questão presente nas seguintes provas
O exame de DNA para definição de paternidade pode ser feito
ainda durante a gestação. Para isso, o tecido fetal pode ser obtido
da coleta de vilo corial ou do líquido amniótico, ambas estruturas
que fazem parte das membranas fetais. Tais membranas,
juntamente com a placenta, serão responsáveis pela nutrição e
excreção do embrião e do feto durante a vida intrauterina.
Com relação às membranas fetais e à placenta, assinale V para a afirmativa verdadeira e F para a falsa.
( ) As membranas fetais humanas são em número de quatro: âmnio, vesícula vitelínica, alantoide e cório.
( ) A vesícula vitelínica (ou saco vitelínico) é uma membrana fina, impermeável que envolve todo o embrião. Essa vesícula contém um fluido que evita que o embrião sofra dessecamento e traumas mecânicos.
( ) A placenta é um órgão formado por um componente fetal (vilosidades coriônicas) e um componente materno (endométrio). Assim, a placenta é composta de células provenientes de dois indivíduos geneticamente distintos.
As afirmativas são, respectivamente,
Com relação às membranas fetais e à placenta, assinale V para a afirmativa verdadeira e F para a falsa.
( ) As membranas fetais humanas são em número de quatro: âmnio, vesícula vitelínica, alantoide e cório.
( ) A vesícula vitelínica (ou saco vitelínico) é uma membrana fina, impermeável que envolve todo o embrião. Essa vesícula contém um fluido que evita que o embrião sofra dessecamento e traumas mecânicos.
( ) A placenta é um órgão formado por um componente fetal (vilosidades coriônicas) e um componente materno (endométrio). Assim, a placenta é composta de células provenientes de dois indivíduos geneticamente distintos.
As afirmativas são, respectivamente,
Provas
Questão presente nas seguintes provas
O ácido desoxirribonucleico (DNA) desempenha um papel vital na
ciência forense, já que a análise do material genético presente em
provas biológicas coletadas na cena de um crime pode servir para
excluir indivíduos inocentes e condenar os culpados.
Sobre a natureza química e a constituição do material genético, analise os itens a seguir:
I. A molécula de DNA é um polímero de unidades menores chamada nucleotídeos. Cada nucleotídeo do DNA é formado por uma molécula de desoxirribose, uma molécula de fosfato e uma base nitrogenada.
II. Se uma molécula de DNA tem 34% de suas bases nitrogenadas correspondentes à guanina, então o percentual correspondente à citosina será, obrigatoriamente, 16%.
III. A duplicação de uma molécula de DNA é dita semiconservativa porque origina duas moléculas filhas idênticas: uma molécula é composta por dois filamentos recém-formados de polinucleotídeos e, a outra, conserva os dois filamentos de polinucleotídeos da molécula original.
Está correto o que se afirma em
Sobre a natureza química e a constituição do material genético, analise os itens a seguir:
I. A molécula de DNA é um polímero de unidades menores chamada nucleotídeos. Cada nucleotídeo do DNA é formado por uma molécula de desoxirribose, uma molécula de fosfato e uma base nitrogenada.
II. Se uma molécula de DNA tem 34% de suas bases nitrogenadas correspondentes à guanina, então o percentual correspondente à citosina será, obrigatoriamente, 16%.
III. A duplicação de uma molécula de DNA é dita semiconservativa porque origina duas moléculas filhas idênticas: uma molécula é composta por dois filamentos recém-formados de polinucleotídeos e, a outra, conserva os dois filamentos de polinucleotídeos da molécula original.
Está correto o que se afirma em
Provas
Questão presente nas seguintes provas
Um estudo internacional permitiu identificar, em um esqueleto de
cerca de mil anos encontrado em Portugal, a existência de uma
síndrome provocada por uma alteração cromossômica numérica.
A análise do DNA do esqueleto utilizou diferentes metodologias e
revelou a presença de cromossomos X e Y, na proporção de 2:1.
A descoberta tornou-se o registro mais antigo da síndrome de
A descoberta tornou-se o registro mais antigo da síndrome de
Provas
Questão presente nas seguintes provas
Cadernos
Caderno Container