Foram encontradas 50 questões.
Preparam-se 50,0 mL de três soluções da mesma concentração de diferentes sais de sódio e potássio. Essas três soluções, todas incolores, foram identificadas como P, Q e R. Cada solução foi submetida, individualmente, aos testes descritos a seguir.
Teste 1: Com o auxílio de uma pipeta graduada de 5,0 mL, foram transferidos 2,0 mL da solução para um tubo de ensaio. Em seguida, foram adicionadas duas gotas de uma solução de fenolftaleína. Após homogeneização, observou-se a cor da solução.
Teste 2: Para um tubo de ensaio, foi transferido 1,0 mL da solução. Em seguida, foram adicionadas dez gotas de uma solução aquosa de cloreto de bário.
Os seguintes resultados foram observados:
|
Solução |
Teste 1 |
Teste 2 |
| P | Incolor |
Nada foi observado |
| Q |
Rosa |
Formação de precipitado branco |
| R | Incolor |
Nada foi observado |
O tubo do Teste 2 que apresentou formação de precipitado foi centrifugado e descartou-se o sobrenadante. Ao precipitado foi adicionada solução aquosa de ácido clorídrico. Observou-se que o precipitado reagiu, liberando gás e formando uma solução incolor.
O procedimento do Teste 2 foi repetido apenas para as soluções P e R, substituindo-se a solução de cloreto de bário por uma solução de nitrato de prata. Em ambos os tubos, a formação de precipitado foi observada. Com a adição de um mesmo volume de solução aquosa concentrada de amônia, pôde-se observar que o precipitado no tubo R solubilizou, enquanto no tubo p não foram observadas mudanças.
Considerando os resultados dos experimentos descritos acima, associe as soluções com o sal mais adequado ao resultado observado.
|
Solução |
Sal |
| P |
I – Acetato de sódio |
| Q |
II – Carbonato de sódio |
| R |
III – Cloreto de potássio |
|
IV– Iodeto de potássio |
|
|
V – Sulfato de potássio |
Estão corretas as associações
Provas
A solução de uma mistura de sais que não reagem entre si foi submetida a um ensaio com iodo em presença de goma de amido. A coloração violácea, característica do iodo em goma de amido, não foi observada após a adição de algumas gotas da solução, indicando a formação de iodeto. De acordo com o resultado do ensaio, NÃO poderá fazer parte da mistura o sal denominado
Provas
Considere os eletrodos abaixo e seus respectivos potenciais nas condições padrão.
I – Ag+ (aq)/Ag(s) Eº = 0,799 V
II – Cl2(g)/Cl– (aq) Eº = 1,358 V
III – Na+ (aq)/Na(s) Eº = -2,71 V
Desprezando o aumento da força iônica no meio, qual será o efeito da adição de íons cloreto em cada um dos potenciais dos eletrodos?
| Eletrodo I |
Eletrodo II | Eletrodo III |
Provas

Analisando-se o Nylon 6,6 representado acima, conclui-se que é um
Provas

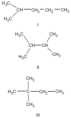
Sobre os hidrocarbonetos acima, afirma-se que o(s)
Provas
Uma solução aquosa de cloreto de sódio tem concentração 30% em peso. A massa de água, em gramas, necessária para diluir a 5% 100g daquela solução é de
Provas
Determinado sulfeto precipita quando o pH do meio for maior que 2. A concentração máxima de uma solução aquosa de ácido acético, em gramas por litro, para que ocorra a precipitação do sulfeto, é cerca de
Dado: Ka = 1,8 x 10–5
Provas
A autonomia de um automóvel pode ser atribuída, de maneira simplificada, à quantidade de calor liberado pela combustão de 1,00 L de determinado combustível. A tabela a seguir fornece valores de calor padrão de combustão, a 25 °C, de gasolina (octano), GNV (metano), etanol e hidrogênio.
|
Combustível |
Entalpia de combustão (kJ/mol) |
Densidade (g/ml) |
|
Gasolina |
-5471,00 |
0,70 |
|
GNV |
-891,00 |
7,00x10−4 |
|
Álcool |
-1367,00 |
0,80 |
|
Hidrogênio |
-286,00 |
8,00x10−5 |
Com base nessas informações e no que se refere às reações químicas, conclui-se que a(o)
Provas
Em relação às substâncias e misturas e aos fenômenos físicos e químicos, analise as afirmativas a seguir.
I – Diamante, aço e sal de cozinha são exemplos de substância simples, mistura e substância composta, respectivamente.
II – A sublimação da naftalina é um fenômeno físico.
III – O fracionamento do petróleo é um fenômeno químico.
IV – Um sistema composto por areia, gelo e ácido acético dissolvido em água caracteriza-se como heterogêneo e possui três fases e três substâncias.
São corretas APENAS as afirmativas
Provas
Fora de foco
Eu estava sentada na sala de embarque do aeroporto, aguardando a chamada do voo, quando minha paz foi interrompida por um senhor aflito que dizia: “Estava aqui, tenho certeza, ainda tem que estar por aqui”. A mulher dele já não tinha esperança de encontrar o que o marido havia perdido, mas ele estava inconformado e não pretendia desistir: “Não posso viajar sem eles, não posso”. Eles quem? Documentos? Filhos? Era coisa séria, sem dúvida. O homem suava, passava a mão na nuca e fiscalizava todos os assentos, um por um, olhando bem de perto, franzindo os olhos para ajustar o foco. Até que um adolescente foi até o casal com um objeto juntado do chão e perguntou se era aquilo que procuravam. Nunca vi êxtase igual. “Graças a Deus! Meus óculos!!!”
Tempos atrás eu teria achado o episódio exagerado. O homem passava por cima das pernas das outras pessoas, levantava bolsas, pacotes, parecia um cão farejador. Se tivesse perdido os filhos, vá lá, mas tanto alvoroço e gritaria por um par de óculos?
Tempos atrás eu ainda enxergava feito uma águia, não tinha como entender.
Já havia escutado alguns comentários sobre o efeito que a entrada nos 40 anos exerce sobre os olhos do aniversariante. Diziam que era tudo muito rápido: num dia via-se o mundo em alta definição, no outro ele amanhecia embaçado. Eu não acreditava muito nisso, mas foi exatamente assim: num dia eu vi o mundo em alta definição, no outro eu trouxe para casa um produto com o prazo de validade vencido porque enxerguei 2008 onde estava escrito 2003.
Uma visitinha ao oftalmo e minha sorte estava lançada: adicionaria ao meu visual um belo par de lentes bifocais. Só para ler, tentou me consolar o médico. Pensei: tudo bem. Apenas para ler um livro, uma revista, um jornal. Uso doméstico, nem preciso carregar na bolsa. Até que me vi plantada numa loja de discos segurando um CD da Gretchen achando que estava escrito Gershwin. A verdade é que até quem não gosta de ler, lê a toda hora: bulas, rótulos, outdoors, placas de trânsito, etiquetas, cheques, mapas, regulamentos, cardápios, mensagens do celular. Óculos só para ler significa óculos no mínimo 16 horas por dia, isso no caso de você sonhar sem legendas.
Hoje de manhã precisei dos meus óculos e não os encontrei onde sempre costumam estar. Procurei aqui, ali, e nada. Lembrei-me do homem do aeroporto, que quase teve um piripaque diante da possibilidade de viajar sem seus óculos. Eu não estava embarcando para lugar algum, queria apenas procurar uma rua no guia telefônico, e foi então que percebi a falta que eles me fariam caso eu não os encontrasse. Mas os encontrei. Estão em cima do meu nariz neste exato momento, lembrando que na vida há o tempo de ser águia e o tempo de se conformar em ser um homem− ou mulher−morcego.
MEDEIROS, Martha. Revista O Globo, 3 jul. 2005. (Adaptado)
A cronista, a partir de sua experiência pessoal, reflete sobre os limites impostos pela idade, demonstrando essa reflexão no seguinte parágrafo:
Provas
Caderno Container