Foram encontradas 340 questões.

Provas
Questão presente nas seguintes provas

Provas
Questão presente nas seguintes provas
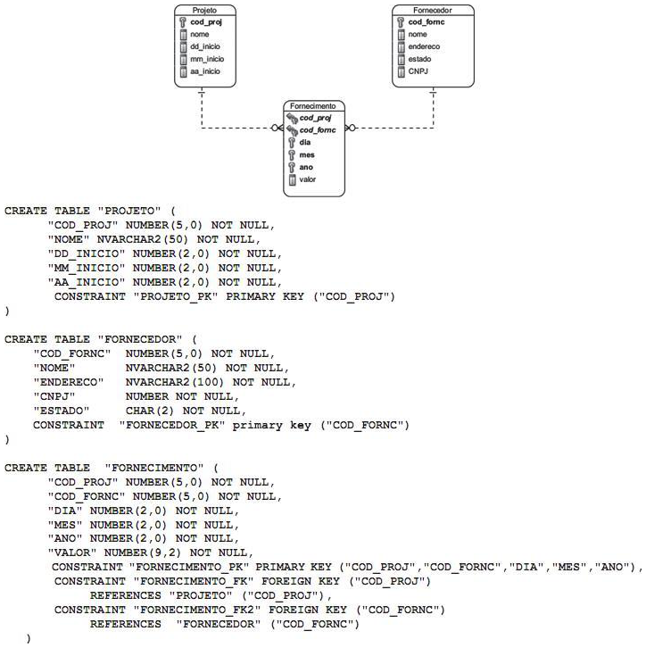
Considere as informações a seguir para responder à questão.
O diagrama E-R e as tabelas abaixo são utilizados para descrever um banco de dados que contém informações sobre
projetos e fornecedores de projetos.

Que consulta permite exibir os nomes dos projetos em que todos os fornecedores estão localizados no estado do Rio de Janeiro ( ESTADO='RJ') ?O diagrama E-R e as tabelas abaixo são utilizados para descrever um banco de dados que contém informações sobre
projetos e fornecedores de projetos.

Provas
Questão presente nas seguintes provas
Considere as informações a seguir para responder à questão.
O diagrama E-R e as tabelas abaixo são utilizados para descrever um banco de dados que contém informações sobre
projetos e fornecedores de projetos.

Que consulta permite exibir os nomes dos projetos cujos valores médios dos fornecimentos sejam maiores do que R$ 5.000,00?O diagrama E-R e as tabelas abaixo são utilizados para descrever um banco de dados que contém informações sobre
projetos e fornecedores de projetos.

Provas
Questão presente nas seguintes provas
Seja o conjunto de tabelas abaixo, as quais representam um banco de dados relacional.
AVALIADOR (id, nome, email)
AVALIADOR_TELEFONE (idAvaliador, telefone)
CONSULTOR (id, nome, email, nomeConsultoria)
PROJETO (id, descricao, investimento, idCoordenador)
COORDENADOR (id, nome, orgaoOrigem)
AVALIACAO (idAvaliador, idProjeto, dataInicio, dataFim)
ATUACAO (idConsultor, idProjeto)
E as seguintes restrições:
• Os campos sublinhados representam as chaves primárias das relações.
• O campo idAvaliador da tabela AVALIADOR_TELEFONE referencia o campo id da tabela AVALIADOR.
• O campo idCoordenador referencia o campo id da tabela COORDENADOR.
• O campo idAvaliador da tabela AVALIACAO referencia o campo id da tabela AVALIADOR.
• O campo idProjeto da tabela AVALIACAO referencia o campo id da tabela PROJETO.
• O campo idConsultor da tabela ATUACAO referencia o campo id da tabela CONSULTOR.
• O campo idProjeto da tabela ATUACAO referencia o campo id da tabela PROJETO.
O usuário A1, que possui direito de criação de tabelas concedido pelo administrador de banco de dados, criou as relações anteriormente apresentadas em um sistema gerenciador de banco de dados (SGBD) relacional. Ele deseja permitir que o usuário B1 e as aplicações S1 e S2 tenham o direito de consultar, incluir e atualizar os dados nas tabelas ATUACAO e AVALIACAO, e que somente o usuário B1 possa consultar e atualizar o estado das relações CONSULTOR, AVALIADOR e COORDENADOR, com a possibilidade de repassar o direito de consulta a essas tabelas ao usuário B2, que não poderá propagar essa permissão para outros usuários.AVALIADOR (id, nome, email)
AVALIADOR_TELEFONE (idAvaliador, telefone)
CONSULTOR (id, nome, email, nomeConsultoria)
PROJETO (id, descricao, investimento, idCoordenador)
COORDENADOR (id, nome, orgaoOrigem)
AVALIACAO (idAvaliador, idProjeto, dataInicio, dataFim)
ATUACAO (idConsultor, idProjeto)
E as seguintes restrições:
• Os campos sublinhados representam as chaves primárias das relações.
• O campo idAvaliador da tabela AVALIADOR_TELEFONE referencia o campo id da tabela AVALIADOR.
• O campo idCoordenador referencia o campo id da tabela COORDENADOR.
• O campo idAvaliador da tabela AVALIACAO referencia o campo id da tabela AVALIADOR.
• O campo idProjeto da tabela AVALIACAO referencia o campo id da tabela PROJETO.
• O campo idConsultor da tabela ATUACAO referencia o campo id da tabela CONSULTOR.
• O campo idProjeto da tabela ATUACAO referencia o campo id da tabela PROJETO.
Qual dos comandos SQL a seguir, executado pelo usuário A1, atende à situação proposta?
Provas
Questão presente nas seguintes provas
Considere as informações a seguir para responder à questão.
O diagrama E-R e as tabelas abaixo são utilizados para descrever um banco de dados que contém informações sobre
projetos e fornecedores de projetos.

O diretor de projeto solicitou que fosse elaborada uma relação que contenha os códigos de todos os fornecedores que já forneceram pelo menos uma vez para um projeto qualquer.O diagrama E-R e as tabelas abaixo são utilizados para descrever um banco de dados que contém informações sobre
projetos e fornecedores de projetos.

Que consulta NÃO é capaz de produzir a relação solicitada?
Provas
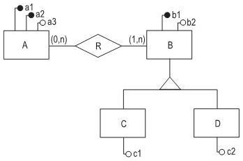
Questão presente nas seguintes provas
Seja o seguinte diagrama E-R, onde os identificadores são representados por círculos preenchidos.

Analisando esse diagrama, é possível afirmar que

Analisando esse diagrama, é possível afirmar que
Provas
Questão presente nas seguintes provas
Considere as informações a seguir para responder à questão.
O diagrama E-R e as tabelas abaixo são utilizados para descrever um banco de dados que contém informações sobre
projetos e fornecedores de projetos.

Que consulta irá abater 10% dos valores dos fornecimentos relativos a fornecedores que realizaram mais de 2 fornecimentos, independente do projeto para os quais eles forneceram?O diagrama E-R e as tabelas abaixo são utilizados para descrever um banco de dados que contém informações sobre
projetos e fornecedores de projetos.

Provas
Questão presente nas seguintes provas
- Gerenciamento de ProcessosEscalonamento de ProcessosEscalonamento por Prioridades
- Gerenciamento de ProcessosStarvation
Um determinado sistema operacional utiliza uma política de escalonamento do processador baseada em múltiplas filas de processos prontos para executar. As filas são ordenadas por prioridade, de modo que os processos vão sendo rebaixados de prioridade à medida que consomem mais tempo de CPU.
A política acima poderá impedir, por tempo indefinido, que um processo X ganhe o controle do processador, pois é possível que sempre haja outro processo pronto para executar cuja prioridade seja maior que a do processo X.
O problema descrito acima é denominado
A política acima poderá impedir, por tempo indefinido, que um processo X ganhe o controle do processador, pois é possível que sempre haja outro processo pronto para executar cuja prioridade seja maior que a do processo X.
O problema descrito acima é denominado
Provas
Questão presente nas seguintes provas
O sistema de arquivos FAT32, no contexto do Microsoft Windows 7, apresenta várias características, entre as quais NÃO se inclui o suporte à(a)
Provas
Questão presente nas seguintes provas
Cadernos
Caderno Container