Foram encontradas 40 questões.
Assinale a alternativa que apresenta uma proposição composta com a operação de
conjunção e que tenha valor lógico verdadeiro.
Provas
Questão presente nas seguintes provas
Analise o trapézio isósceles representado na Figura 1.

Sabendo que BC = MN = 8 cm, AB = CD = 5 cm e BM = CN = 4 cm, determine a área do trapézio ABCD.
Provas
Questão presente nas seguintes provas
Assinale a alternativa que apresenta o resultado da expressão a seguir:
√576 . (-2)-3 – (-3)3 –√1024: (-2)2
Provas
Questão presente nas seguintes provas
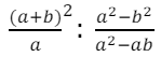
Simplificando o polinômio abaixo, obtém-se:

Provas
Questão presente nas seguintes provas
Qual é o 241º algarismo após a vírgula na divisão de 62 por 495?
Provas
Questão presente nas seguintes provas
3203884
Ano: 2024
Disciplina: Legislação Estadual e Distrital
Banca: FUNDATEC
Orgão: Pref. Arroio Sal-RS
Disciplina: Legislação Estadual e Distrital
Banca: FUNDATEC
Orgão: Pref. Arroio Sal-RS
Provas:
Conforme o Estatuto Estadual da Igualdade Racial, serão instituídas políticas públicas
de incentivo à pesquisa do processo de saúde e doenças da população negra nas instituições de ensino,
com ênfase:
Provas
Questão presente nas seguintes provas
3203883
Ano: 2024
Disciplina: Legislação Estadual e Distrital
Banca: FUNDATEC
Orgão: Pref. Arroio Sal-RS
Disciplina: Legislação Estadual e Distrital
Banca: FUNDATEC
Orgão: Pref. Arroio Sal-RS
Provas:
Conforme o Estatuto Estadual da Igualdade Racial, poderão ser priorizadas pelo Poder
Público iniciativas que visem:
Provas
Questão presente nas seguintes provas
3203882
Ano: 2024
Disciplina: Legislação Estadual e Distrital
Banca: FUNDATEC
Orgão: Pref. Arroio Sal-RS
Disciplina: Legislação Estadual e Distrital
Banca: FUNDATEC
Orgão: Pref. Arroio Sal-RS
Provas:
Conforme a Constituição do Estado do Rio Grande do Sul, é competência do Município,
além da prevista na Constituição Federal e ressalvada a do Estado:
I. Decretar o estado de defesa e o estado de sítio.
II. Decretar e executar a intervenção federal.
III. Dispor sobre o horário e dias de funcionamento do comércio local e de eventos comerciais temporários de natureza econômica.
Quais estão corretas?
I. Decretar o estado de defesa e o estado de sítio.
II. Decretar e executar a intervenção federal.
III. Dispor sobre o horário e dias de funcionamento do comércio local e de eventos comerciais temporários de natureza econômica.
Quais estão corretas?
Provas
Questão presente nas seguintes provas
3203881
Ano: 2024
Disciplina: Legislação Estadual e Distrital
Banca: FUNDATEC
Orgão: Pref. Arroio Sal-RS
Disciplina: Legislação Estadual e Distrital
Banca: FUNDATEC
Orgão: Pref. Arroio Sal-RS
Provas:
Conforme a Constituição do Estado do Rio Grande do Sul, o Estado intervirá nos
Municípios quando:
I. Não tiver sido aplicado o mínimo exigido da receita municipal na manutenção e desenvolvimento do ensino.
II. Não forem prestadas contas na forma da Lei.
III. Deixar de ser paga, sem motivo de força maior, por 1 ano, a dívida fundada.
Quais estão corretas?
I. Não tiver sido aplicado o mínimo exigido da receita municipal na manutenção e desenvolvimento do ensino.
II. Não forem prestadas contas na forma da Lei.
III. Deixar de ser paga, sem motivo de força maior, por 1 ano, a dívida fundada.
Quais estão corretas?
Provas
Questão presente nas seguintes provas
3203880
Ano: 2024
Disciplina: Legislação Municipal
Banca: FUNDATEC
Orgão: Pref. Arroio Sal-RS
Disciplina: Legislação Municipal
Banca: FUNDATEC
Orgão: Pref. Arroio Sal-RS
Provas:
Conforme os quadros de cargos e funções públicas do Município de Arroio do Sal, em
seu Art. 17, denomina-se _____________ a demonstração positiva do servidor no exercício do seu
cargo e se evidencia pelo desempenho de forma eficiente, dedicada e leal das atribuições que lhe são
cometidas, bem como pela sua assiduidade, pontualidade e disciplina.
Assinale a alternativa que preenche corretamente a lacuna do trecho acima.
Assinale a alternativa que preenche corretamente a lacuna do trecho acima.
Provas
Questão presente nas seguintes provas
Cadernos
Caderno Container