Foram encontradas 45 questões.
2005084
Ano: 2020
Disciplina: Legislação Municipal
Banca: FAUEL
Orgão: Pref. Assis Chateaubriand-PR
Disciplina: Legislação Municipal
Banca: FAUEL
Orgão: Pref. Assis Chateaubriand-PR
Provas:
Em relação a fiscalização contábil, financeira e orçamentária de acordo com a Lei Orgânica do Município de ASSIS CHATEAUBRIAND, considere:
I - A fiscalização contábil, financeira e orçamentária, operacional e patrimonial do Município e das entidades da administração direta, indireta ou fundacional, quanto à legalidade, legitimidade, economicidade, aplicação das subvenções e renúncia de receitas, será exercida pela Prefeitura Municipal, mediante controle externo e pelo controle interno de cada Poder, na forma da lei. II - Prestará contas qualquer pessoa física ou jurídica, entidade pública ou privada que utilize, arrecade, guarde, gerencie ou administre dinheiros, bens e valores públicos ou pelos quais o Município responda, ou que, em nome deste, assuma obrigações de natureza pecuniária. III - Os Poderes Executivo e Legislativo manterão, de forma integrada, sistema de controle interno, apoiado nas informações contábeis, com o objetivo de comprovar a legalidade e avaliar os resultados, quanto à eficácia e à eficiência, da gestão orçamentária, financeira e patrimonial nos órgãos e entidades da administração municipal, bem como da aplicação de recursos públicos por entidades de direito privado. IV - As contas do Município, com o parecer prévio emitido pelo Tribunal de Contas do Estado, ficarão, durante sessenta dias, anualmente, à disposição de qualquer contribuinte, para exame e apreciação, o qual poderá questionar-lhes a legitimidade, nos termos da lei.
De acordo com as afirmativas acima, assinale a alternativa CORRETA:
I - A fiscalização contábil, financeira e orçamentária, operacional e patrimonial do Município e das entidades da administração direta, indireta ou fundacional, quanto à legalidade, legitimidade, economicidade, aplicação das subvenções e renúncia de receitas, será exercida pela Prefeitura Municipal, mediante controle externo e pelo controle interno de cada Poder, na forma da lei. II - Prestará contas qualquer pessoa física ou jurídica, entidade pública ou privada que utilize, arrecade, guarde, gerencie ou administre dinheiros, bens e valores públicos ou pelos quais o Município responda, ou que, em nome deste, assuma obrigações de natureza pecuniária. III - Os Poderes Executivo e Legislativo manterão, de forma integrada, sistema de controle interno, apoiado nas informações contábeis, com o objetivo de comprovar a legalidade e avaliar os resultados, quanto à eficácia e à eficiência, da gestão orçamentária, financeira e patrimonial nos órgãos e entidades da administração municipal, bem como da aplicação de recursos públicos por entidades de direito privado. IV - As contas do Município, com o parecer prévio emitido pelo Tribunal de Contas do Estado, ficarão, durante sessenta dias, anualmente, à disposição de qualquer contribuinte, para exame e apreciação, o qual poderá questionar-lhes a legitimidade, nos termos da lei.
De acordo com as afirmativas acima, assinale a alternativa CORRETA:
Provas
Questão presente nas seguintes provas
2005083
Ano: 2020
Disciplina: Legislação Federal
Banca: FAUEL
Orgão: Pref. Assis Chateaubriand-PR
Disciplina: Legislação Federal
Banca: FAUEL
Orgão: Pref. Assis Chateaubriand-PR
Provas:
Com base na Lei 11.107/2005, que dispõe sobre os
consórcios públicos, assinale a alternativa CORRETA.
Provas
Questão presente nas seguintes provas
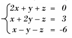
Assinale a alternativa que contém a soma das raízes do sistema de equações a seguir:


Provas
Questão presente nas seguintes provas
Sobre a função:

Assinale a alternativa CORRETA.
Provas
Questão presente nas seguintes provas
Algumas unidades de medidas são mais utilizadas
no Brasil. Sobre unidades de quantidade de matéria
(massa), assinale a alternativa CORRETA:
Provas
Questão presente nas seguintes provas
O esquadro é uma ferramenta utilizada tanto pararealização de desenhos quanto em obras. É compostapor um triângulo retângulo, geralmente com ângulosinternos de 30º, 60º e 90º; ou dois de 45º e um de 90º.Considerando o esquadro isósceles, se este possuirhipotenusa de tamanho igual a 15cm, qual será o tamanho aproximado de cada cateto?
(Considere √2 ≅ 1,4)
(Considere √2 ≅ 1,4)
Provas
Questão presente nas seguintes provas
O trecho a seguir foi extraído da obra ‘Memórias
do Cárcere’, de Graciliano Ramos. Leia-o atentamente
para responder à próxima questão.
“Nunca tivemos censura prévia em obra de arte. Efetivamente se queimaram alguns livros, mas foram raríssimos esses autos-de-fé. Em geral a reação se limitou a suprimir ataques diretos, palavras de ordem,
tiradas demagógicas, e disto escasso prejuízo veio
à produção literária. Certos escritores se desculpam
de não haverem forjado coisas excelentes por falta de liberdade - talvez ingênuo recurso de justificar
inépcia ou preguiça. Liberdade completa ninguém
desfruta: começamos oprimidos pela sintaxe e acabamos às voltas com a Delegacia de Ordem Política
e Social, mas, nos estreitos limites a que nos coagem a gramática e a lei, ainda nos podemos mexer”.
Provas
Questão presente nas seguintes provas
O trecho a seguir foi extraído da obra ‘Memórias
do Cárcere’, de Graciliano Ramos. Leia-o atentamente
para responder à próxima questão.
“Nunca tivemos censura prévia em obra de arte. Efetivamente se queimaram alguns livros, mas foram raríssimos esses autos-de-fé. Em geral a reação se limitou a suprimir ataques diretos, palavras de ordem,
tiradas demagógicas, e disto escasso prejuízo veio
à produção literária. Certos escritores se desculpam
de não haverem forjado coisas excelentes por falta de liberdade - talvez ingênuo recurso de justificar
inépcia ou preguiça. Liberdade completa ninguém
desfruta: começamos oprimidos pela sintaxe e acabamos às voltas com a Delegacia de Ordem Política
e Social, mas, nos estreitos limites a que nos coagem a gramática e a lei, ainda nos podemos mexer”.
Provas
Questão presente nas seguintes provas
O trecho a seguir foi extraído da obra ‘Memórias
do Cárcere’, de Graciliano Ramos. Leia-o atentamente
para responder à próxima questão.
“Nunca tivemos censura prévia em obra de arte. Efetivamente se queimaram alguns livros, mas foram raríssimos esses autos-de-fé. Em geral a reação se limitou a suprimir ataques diretos, palavras de ordem,
tiradas demagógicas, e disto escasso prejuízo veio
à produção literária. Certos escritores se desculpam
de não haverem forjado coisas excelentes por falta de liberdade - talvez ingênuo recurso de justificar
inépcia ou preguiça. Liberdade completa ninguém
desfruta: começamos oprimidos pela sintaxe e acabamos às voltas com a Delegacia de Ordem Política
e Social, mas, nos estreitos limites a que nos coagem a gramática e a lei, ainda nos podemos mexer”.
Provas
Questão presente nas seguintes provas
- OrtografiaAcentuação GráficaProparoxítonas, Paraxítonas, Oxítonas e Hiatos
- FonologiaNoções de Fonética
O trecho a seguir foi extraído da obra ‘Memórias
do Cárcere’, de Graciliano Ramos. Leia-o atentamente
para responder à próxima questão.
“Nunca tivemos censura prévia em obra de arte. Efetivamente se queimaram alguns livros, mas foram raríssimos esses autos-de-fé. Em geral a reação se limitou a suprimir ataques diretos, palavras de ordem,
tiradas demagógicas, e disto escasso prejuízo veio
à produção literária. Certos escritores se desculpam
de não haverem forjado coisas excelentes por falta de liberdade - talvez ingênuo recurso de justificar
inépcia ou preguiça. Liberdade completa ninguém
desfruta: começamos oprimidos pela sintaxe e acabamos às voltas com a Delegacia de Ordem Política
e Social, mas, nos estreitos limites a que nos coagem a gramática e a lei, ainda nos podemos mexer”.
Provas
Questão presente nas seguintes provas
Cadernos
Caderno Container