Foram encontradas 740 questões.
3163250
Ano: 2024
Disciplina: Agronomia (Engenharia Agronômica)
Banca: UFMT
Orgão: Pref. Cáceres-MT
Disciplina: Agronomia (Engenharia Agronômica)
Banca: UFMT
Orgão: Pref. Cáceres-MT
Provas:
Um agricultor comprou, em uma revenda de insumos, um lote de fertilizante mineral misto, com a
formulação 04-14-08. Ele tem a garantia de que o fertilizante tem os valores mínimos de nitrogênio, fósforo
e potássio expressos na fórmula. Essa garantia é dada pela Lei nº 6.894/1980, alterada pela Lei nº
12.890/2013, que define sanções aos fabricantes, para valores de macronutrientes primários inferiores
àqueles indicados no registro do produto. Dentre as sanções previstas nesta lei, considere:
1. Multa
2. Multa e cancelamento do registro
3. Inutilização do produto
São sansões aplicáveis:
1. Multa
2. Multa e cancelamento do registro
3. Inutilização do produto
São sansões aplicáveis:
Provas
Questão presente nas seguintes provas
3163249
Ano: 2024
Disciplina: Agronomia (Engenharia Agronômica)
Banca: UFMT
Orgão: Pref. Cáceres-MT
Disciplina: Agronomia (Engenharia Agronômica)
Banca: UFMT
Orgão: Pref. Cáceres-MT
Provas:
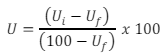
Os grãos de milho, grupo duro, classe amarela, vendidos por um agricultor, destinados ao consumo in
natura, foram amostrados e classificados para fins de comercialização. Os resultados obtidos da análise,
para uma amostra de 100g (gramas), foram os que se apresentam a seguir:

Os grãos de milho são classificados, oficialmente, em 3 (três) tipos, de acordo com a qualidade e definidos pelos limites máximos de tolerâncias estabelecidos pela Instrução Normativa 60/2011 do Mapa, conforme Tabela 1.

Assinale a assertiva correta quanto à classificação e quebra de umidade que sofrerá o lote, considerando umidade de comercialização 13%. Considere para o cálculo da umidade, em base úmida, a expressão a seguir:


Os grãos de milho são classificados, oficialmente, em 3 (três) tipos, de acordo com a qualidade e definidos pelos limites máximos de tolerâncias estabelecidos pela Instrução Normativa 60/2011 do Mapa, conforme Tabela 1.

Assinale a assertiva correta quanto à classificação e quebra de umidade que sofrerá o lote, considerando umidade de comercialização 13%. Considere para o cálculo da umidade, em base úmida, a expressão a seguir:

Provas
Questão presente nas seguintes provas
3163248
Ano: 2024
Disciplina: Agronomia (Engenharia Agronômica)
Banca: UFMT
Orgão: Pref. Cáceres-MT
Disciplina: Agronomia (Engenharia Agronômica)
Banca: UFMT
Orgão: Pref. Cáceres-MT
Provas:
A agricultura moderna tem se valido de conhecimentos avançados de microbiologia para trazer benefícios
aos cultivos de plantas de interesse econômico. Marque V para as afirmativas verdadeiras e F para as falsas.
( ) As bactérias Bradyrhizobium japonicum fazem uma associação simbiótica com as raízes de plantas de soja.
( ) Os rizóbios são capazes, em qualquer circunstância, de fornecer todo o nitrogênio necessário para o desenvolvimento adequado de plantas de soja.
( ) Os fungos micorrízicos arbusculares são fungos de solo, que estabelecem uma relação mutualística com as raízes das plantas.
( ) Os solos com maior teor de matéria orgânica não favorecem o crescimento de bactérias fixadoras de nitrogênio e fungos que auxiliam na absorção de fósforo.
( ) Azospirillum brasilense é uma espécie de bactéria capaz de fixar biologicamente nitrogênio e auxinas em culturas de milho e soja.
Assinale a sequência correta
( ) As bactérias Bradyrhizobium japonicum fazem uma associação simbiótica com as raízes de plantas de soja.
( ) Os rizóbios são capazes, em qualquer circunstância, de fornecer todo o nitrogênio necessário para o desenvolvimento adequado de plantas de soja.
( ) Os fungos micorrízicos arbusculares são fungos de solo, que estabelecem uma relação mutualística com as raízes das plantas.
( ) Os solos com maior teor de matéria orgânica não favorecem o crescimento de bactérias fixadoras de nitrogênio e fungos que auxiliam na absorção de fósforo.
( ) Azospirillum brasilense é uma espécie de bactéria capaz de fixar biologicamente nitrogênio e auxinas em culturas de milho e soja.
Assinale a sequência correta
Provas
Questão presente nas seguintes provas
3163247
Ano: 2024
Disciplina: Agronomia (Engenharia Agronômica)
Banca: UFMT
Orgão: Pref. Cáceres-MT
Disciplina: Agronomia (Engenharia Agronômica)
Banca: UFMT
Orgão: Pref. Cáceres-MT
Provas:
Os campos para a produção de sementes certificadas precisam ser conduzidos de acordo com a legislação
vigente, envolvendo práticas e conceitos específicos. À esquerda, são apresentados conceitos e à direita, suas
definições. Numere a coluna da direita de acordo com a da esquerda.
1. Roguing
2. Pureza varietal
3. Pureza física
4. Qualidade fisiológica
5. Qualidade sanitária
( ) Ausência de contaminações com outros tipos de sementes.
( ) Eliminação de todos os indivíduos destoantes da população de plantas.
( ) Sementes livres de pragas e doenças.
( ) Identifica um genótipo e deve ser mantido durante sua multiplicação.
( ) Alta taxa de germinação e uniformidade (vigor).
Assinale a sequência correta.
1. Roguing
2. Pureza varietal
3. Pureza física
4. Qualidade fisiológica
5. Qualidade sanitária
( ) Ausência de contaminações com outros tipos de sementes.
( ) Eliminação de todos os indivíduos destoantes da população de plantas.
( ) Sementes livres de pragas e doenças.
( ) Identifica um genótipo e deve ser mantido durante sua multiplicação.
( ) Alta taxa de germinação e uniformidade (vigor).
Assinale a sequência correta.
Provas
Questão presente nas seguintes provas
3163246
Ano: 2024
Disciplina: Agronomia (Engenharia Agronômica)
Banca: UFMT
Orgão: Pref. Cáceres-MT
Disciplina: Agronomia (Engenharia Agronômica)
Banca: UFMT
Orgão: Pref. Cáceres-MT
Provas:
A tecnologia de aplicação de defensivos agrícolas está baseada no uso de dois distintos grupos de bicos de
pulverização, os bicos tipo leque e os bicos tipo cone vazio. A seguir são apresentados os dois bicos e as
características básicas desses dois grupos de bicos. Numere a coluna da direita de acordo com a da esquerda.
1. Bico cone vazio
2. Bico leque
( ) Alto risco de deriva.
( ) Baixo risco de deriva.
( ) Média do diâmetro mediano volumétrico de gotas >170 micras.
( ) Média do diâmetro mediano volumétrico de gotas < 110 micras.
( ) Recomendado para inseticidas e fungicidas.
( ) Recomendado para herbicidas.
Marque a sequência correta.
1. Bico cone vazio
2. Bico leque
( ) Alto risco de deriva.
( ) Baixo risco de deriva.
( ) Média do diâmetro mediano volumétrico de gotas >170 micras.
( ) Média do diâmetro mediano volumétrico de gotas < 110 micras.
( ) Recomendado para inseticidas e fungicidas.
( ) Recomendado para herbicidas.
Marque a sequência correta.
Provas
Questão presente nas seguintes provas
3163245
Ano: 2024
Disciplina: Agronomia (Engenharia Agronômica)
Banca: UFMT
Orgão: Pref. Cáceres-MT
Disciplina: Agronomia (Engenharia Agronômica)
Banca: UFMT
Orgão: Pref. Cáceres-MT
Provas:
Quando o agricultor compra mudas de frutíferas para compor um pomar ou um cultivo comercial, ele deve
adquirir mudas certificadas. Sobre as garantias que as mudas certificadas oferecem, considere:
1. Alta produtividade
2. Identidade genética
3. Adaptação a qualquer região
4. Pureza varietal
5. Resistência às pragas e doenças
6. Origem genética
São garantias oferecidas pelas mudas certificadas:
1. Alta produtividade
2. Identidade genética
3. Adaptação a qualquer região
4. Pureza varietal
5. Resistência às pragas e doenças
6. Origem genética
São garantias oferecidas pelas mudas certificadas:
Provas
Questão presente nas seguintes provas
3163244
Ano: 2024
Disciplina: Agronomia (Engenharia Agronômica)
Banca: UFMT
Orgão: Pref. Cáceres-MT
Disciplina: Agronomia (Engenharia Agronômica)
Banca: UFMT
Orgão: Pref. Cáceres-MT
Provas:
A quantidade de água a ser utilizada nos sistemas de irrigação é baseada no conceito água disponível no
solo. Essa quantidade de água é variável e depende do tipo de solo e do manejo a que cada solo é submetido.
Independentemente do valor, a água disponível no solo é definida utilizando-se de dois atributos físicos do
solo. O que define a água disponível do solo?
Provas
Questão presente nas seguintes provas
3163243
Ano: 2024
Disciplina: Agronomia (Engenharia Agronômica)
Banca: UFMT
Orgão: Pref. Cáceres-MT
Disciplina: Agronomia (Engenharia Agronômica)
Banca: UFMT
Orgão: Pref. Cáceres-MT
Provas:
Um laboratório de análise de solos adquiriu dois espectrofotômetros para análise de potássio em solo. O
agrônomo responsável fez uma avaliação para saber se os dois equipamentos apresentavam leituras,
estatisticamente, iguais. Neste caso, ele pegou um conjunto de 30 amostras de solos e avaliou cada amostra
nos dois equipamentos. Qual estatística ele deve utilizar para comparar os resultados obtidos?
Provas
Questão presente nas seguintes provas
3163242
Ano: 2024
Disciplina: Agronomia (Engenharia Agronômica)
Banca: UFMT
Orgão: Pref. Cáceres-MT
Disciplina: Agronomia (Engenharia Agronômica)
Banca: UFMT
Orgão: Pref. Cáceres-MT
Provas:
Um experimento de campo, para avaliar diferentes genótipos de milho, precisa ser instalado. O agrônomo,
para ter sucesso no estudo, precisa considerar os princípios básicos da experimentação agrícola na hora de
implantar o experimento. Quais são os princípios básicos da experimentação?
Provas
Questão presente nas seguintes provas
3163241
Ano: 2024
Disciplina: Agronomia (Engenharia Agronômica)
Banca: UFMT
Orgão: Pref. Cáceres-MT
Disciplina: Agronomia (Engenharia Agronômica)
Banca: UFMT
Orgão: Pref. Cáceres-MT
Provas:
O Sistema Plantio Direto (SPD) surgiu no Paraná, na década de 1970, como alternativa para solução do
problema de degradação do solo e das fontes de água que vinha ocorrendo por causa do uso do sistema de
plantio convencional. Os resultados do SPD foram tão positivos que acabou se espalhando para o Brasil,
inclusive a região do cerrado. Quais são as premissas do SPD?
Provas
Questão presente nas seguintes provas
Cadernos
Caderno Container