Foram encontradas 30 questões.
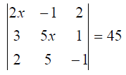
O produto das raízes da equação abaixo é:

Provas
O lucro mensal de uma indústria é dado pela função L(x) = - x2 + 16x - 40, em que x é o número de unidades produzidas. Assim sendo, o número de unidades que essa indústria deve produzir para obter lucro máximo, corresponde
Provas
“O termo currículo é encontrado em registros do século XVII, sempre relacionado a um projeto de controle do ensino e da aprendizagem, ou seja, da atividade prática da escola. Desde os seus primórdios, currículo envolvia uma associação entre o conceito de ordem e método.”
Considere as proposições abaixo sobre currículo:
I - O currículo não é um instrumento neutro, pois passa uma ideologia, e a escola precisa identificar e desvelar os componentes ideológicos.
II - O currículo é o conhecimento escolar como uma simplificação do conhecimento científico adequado à faixa etária e aos interesses da instituição escolar.
III - O currículo e sua natureza processual traduzem-se em um conjunto de práticas diversas, ao mesmo tempo em que é construído por subsistemas que vão desde os órgãos mais elevados da política educativa aos contornos da formação dos sujeitos no contexto escolar.
IV - O currículo é um conjunto de objetivos, conteúdos, experiências de aprendizagem e avaliação.
São FALSAS as afirmações contidas nas proposições:
Provas
“O termo letramento surgiu porque apareceu um fenômeno novo que não exista antes, ou, se existia, não nos dávamos conta dele, e, como não dávamos conta dele, não tínhamos nome para ele”.
(Soares,2001, p.34)
Considere as proposições abaixo sobre letramento:
I - O letramento estuda o que ocorre na sociedade saindo da perspectiva individual para a coletiva, ele se preocupa com o contexto histórico que a criança está envolvida e não só com o processo de alfabetização.
II - O letramento vai muito além da alfabetização, da decodificação de letras, sendo na realidade uma compreensão do que está escrito, dando outro significado social à palavra que o individuo escreveu no processo de aquisição.
III - O letramento é o estado ou a condição que adquire um grupo social ou um indivíduo como consequência de ter-se apropriado da escrita,
IV - O letramento é o exercício do aprendizado automático e repetitivo, baseado na descontextualização da escrita pelo indivíduo ou grupos de indivíduos.
V - O letramento é a utilização de símbolos para representar a realidade. É a capacidade de pensar através das consequências de uma ação e de entender noções de lógica.
São verdadeiras apenas:
Provas
Segundo GANDIN, o planejamento é um processo vivo e não se resume ao preenchimento de quadros com planos que, sob o pretexto de serem flexíveis, nunca são praticados como foram concebidos.
Assinale a alternativa INCORRETA em relação ao planejamento participativo:
Provas
Disciplina: Atualidades e Conhecimentos Gerais
Banca: REIS & REIS
Orgão: Pref. Cascalho Rico-MG
Marque a alternativa incorreta:
Provas
Sobre Ética e Cidadania, Marque a alternativa incorreta:
Provas
Disciplina: Atualidades e Conhecimentos Gerais
Banca: REIS & REIS
Orgão: Pref. Cascalho Rico-MG
“O primeiro-ministro islandês, ..................................................... ...., renunciou ao cargo nesta terça-feira (5) após ter seu nome citado no escândalo "Panama Papers". A decisão foi adotada em uma reunião de seu partido. A renúncia aconteceu horas depois de ele ter pedido a dissolução do Parlamento ao presidente Olafur Ragnar Grimsson.”
http://g1.globo.com/mundo/noticia/2016/04/
Marque a alternativa que completa corretamente o enunciado acima:
Provas
Disciplina: Atualidades e Conhecimentos Gerais
Banca: REIS & REIS
Orgão: Pref. Cascalho Rico-MG
“O…....................... foi criado pelo Governo Federal, em 2011, com o objetivo de expandir, interiorizar e democratizar a oferta de cursos de educação profissional e tecnológica no país.”
Provas
Disciplina: Atualidades e Conhecimentos Gerais
Banca: REIS & REIS
Orgão: Pref. Cascalho Rico-MG

Provas
Caderno Container