Foram encontradas 50 questões.
A vegetação em um município desempenha um papel fundamental em vários aspectos, tanto ecológicos
quanto sociais e econômicos. Em Dias d'Ávila - BA,
ocorre uma vegetação diversificada, a qual é identificada
por
Provas
Questão presente nas seguintes provas
Recursos hídricos incluem águas superficiais (rios, lagos)
subterrâneas e desempenham um papel crucial tanto e
do ponto de vista ecológico quanto econômico. São
essenciais para a manutenção da biodiversidade,
servindo como habitats para uma vasta gama de
espécies aquáticas e terrestres. Os principais recursos
hídricos que caracterizam Dias d'Ávila-BA como a
"Cidade das Águas" e contribuem para a sua importância
ecológica e econômica, corresponde(m)
Provas
Questão presente nas seguintes provas
Em 2010, o município de Dias d'Ávila-BA apresentou
uma taxa de escolarização de 98% para a faixa etária de
a 14 anos, ocupando a 121ª posição dentre os 417 6
municípios do estado e a 2065ª, de 5570, em uma
comparação nacional. Em 2021, os Índices de
Desenvolvimento da Educação Básica (IDEB) para os
anos iniciais e finais do ensino fundamental, na rede
pública, foram de 5,2 e 4,6, respectivamente. Esses
resultados posicionaram Dias d'Ávila na 79ª e 58ª
posições entre os municípios do estado, e na 3296ª e
3102ª em um contexto nacional. Com base nesses
dados, é correto afirmar que
Provas
Questão presente nas seguintes provas
Considere a seguinte sequência complexa:
3, A, α, 5, C, β, 7, E, α, 11, G, β, 13, I, α
Identifique seu próximo elemento.
3, A, α, 5, C, β, 7, E, α, 11, G, β, 13, I, α
Identifique seu próximo elemento.
Provas
Questão presente nas seguintes provas
Considere os conjuntos A, e B, definidos por:
A = {x ∈ Z | x é um divisor positivo de 36};
B = {x ∈ Z | x é um divisor positivo de 48};
C = {x ∈ Z | x é primo}.
Calcule a cardinalidade do conjunto D = (A ∪ B) - (A ∩ C).
Provas
Questão presente nas seguintes provas
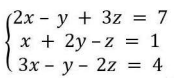
Considere o sistema de equações lineares a seguir:

Calcule o valor de x + y + z.
Provas
Questão presente nas seguintes provas
Mariana foi ao Centro Comercial com uma certa quantia
em dinheiro e ao entrar na primeira loja, gastou metade
da quantia que possuía. Depois, foi ao café e gastou 30
reais. Continuando seu passeio, entrou em outra loja e
gastou metade do que lhe restava. Em seguida, foi ao
cinema e gastou 60 reais. Logo após, visitou mais uma
loja e gastou metade do dinheiro que ainda dispunha.
Finalmente, ela pagou 10 reais de estacionamento.
Neste ponto, percebeu que ainda havia 45 reais na
carteira. Calcule quantos reais Mariana levou para o
Centro Comercial.
Provas
Questão presente nas seguintes provas
Considerando o conjunto S, definido por S = {a, b, c, d, S
e}, determine o número de subconjuntos não vazios que
podem ser formados a partir de S.
Provas
Questão presente nas seguintes provas
Considere uma sequência intercalada onde os termos,
em posições ímpares, formam uma progressão
aritmética com primeiro termo a = 1 e razão r = 3 , e os termos em posições pares formam uma progressão
geométrica com primeiro termo b = 2 e razão q = 4 .
Calcule o valor do 10º termo desta sequência
intercalada.
Provas
Questão presente nas seguintes provas
Em um torneio de xadrez, 10 jogadores são distribuídos
aleatoriamente em 5 jogos simultâneos. Cada jogo envolve dois jogadores. Determine a probabilidade de
que dois jogadores específicos, Ana e Bruno, joguem um
contra o outro na primeira rodada.
Provas
Questão presente nas seguintes provas
Cadernos
Caderno Container