Foram encontradas 112 questões.
Sabe-se que o quinto termo de certa progressão
aritmética é igual a 16 e que o primeiro termo é igual a 4.
Sendo assim, quanto vale a razão dessa progressão?
Provas
Questão presente nas seguintes provas
A nota final em certo concurso público é dada através
da soma da nota obtida na prova objetiva com a nota
obtida na prova prática. Supondo-se que determinado
candidato obteve 72,6 pontos na prova objetiva e 9,7 na
prova prática, assinalar a alternativa que apresenta a nota
total desse candidato:
Provas
Questão presente nas seguintes provas
Certa prova possui 60 questões que valem a mesma
pontuação. Para ser aprovado, um aluno precisa acertar
no mínimo 60% das questões. Sendo assim, qual o
mínimo de questões que um aluno precisa acertar para
ser aprovado?
Provas
Questão presente nas seguintes provas
Em uma cesta foram colocadas cinco maçãs, três
bananas e duas peras. Escolhendo-se aleatoriamente
uma fruta dessa cesta, qual a probabilidade de ela ser
uma pera?
Provas
Questão presente nas seguintes provas
Laura, Maria, Nívea e Olga têm 18, 20, 22 e 25 anos,
não necessariamente nessa ordem. Sabe-se que Nívea
não tem 18 anos, Maria é a mais velha, e Olga é mais
velha que Nívea. Com base nessas informações, assinalar
a alternativa CORRETA:
Provas
Questão presente nas seguintes provas
Para se fazer 5 bolos iguais, foi utilizado um total de
20 ovos. Sabendo-se que foi utilizada a mesma
quantidade de ovos por bolo, ao todo, quantos ovos serão
necessários para fazer 14 bolos iguais a esse?
Provas
Questão presente nas seguintes provas
Os 2.000 hectares de terra da fazenda de Pedro foram
divididos para a plantação de arroz, feijão, soja e milho.
Considerando-se que, para cada tipo de plantação, foi
destinada uma área diferente, de acordo com o quadro
abaixo, qual das plantações teve a maior área de
plantação?
Tipo de plantação Área de plantação Arroz 600.000.000cm² Feijão 80.000.000dm² Soja 12km² Milho 7.140.000m²
Tipo de plantação Área de plantação Arroz 600.000.000cm² Feijão 80.000.000dm² Soja 12km² Milho 7.140.000m²
Provas
Questão presente nas seguintes provas
Certo livro de álgebra possui 260 páginas. Sabendo-se que 35% das páginas correspondem a páginas de
exercícios, ao todo, quantas páginas desse livro são
páginas de exercícios?
Provas
Questão presente nas seguintes provas
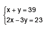
Uma empresa possui certa quantidade de funcionários
fixos e certa quantidade de funcionários temporários. A
quantidade de cada tipo de funcionário é dada pela
solução do sistema abaixo. Sabendo-se que há mais
funcionários fixos do que temporários, ao todo, quantos
são os funcionários fixos dessa empresa?


Provas
Questão presente nas seguintes provas
643987
Ano: 2019
Disciplina: Matemática Financeira
Banca: OBJETIVA
Orgão: Pref. Faxinalzinho-RS
Disciplina: Matemática Financeira
Banca: OBJETIVA
Orgão: Pref. Faxinalzinho-RS
Provas:
Certo boleto com valor nominal de R$ 98,00 foi pago
com 5 meses de atraso, e foram gerados juros simples no
valor de R$ 14,70. Sendo assim, qual a taxa de juros
simples mensal desse boleto?
Provas
Questão presente nas seguintes provas
Cadernos
Caderno Container