Foram encontradas 573 questões.
A dengue é uma doença infecciosa febril aguda causada pelo mosquito Aedes aegypti, atingindo a população de todos os Estados do Brasil, independentemente de classe social. Sobre a dengue é correto afirmar:
Provas
Questão presente nas seguintes provas
2505148
Ano: 2015
Disciplina: Direito Educacional e Tecnológico
Banca: UFAL
Orgão: Pref. Inhapi-AL
Disciplina: Direito Educacional e Tecnológico
Banca: UFAL
Orgão: Pref. Inhapi-AL
Provas:
A formação do professor vem assumindo posição de destaque no cenário da Educação Brasileira nas últimas décadas. A citação na Lei de Diretrizes e Bases da Educação Nacional Lei Federal nº 9.394/1996, Art. 62 ao Art. 67, tenta garantir a formação continuada para
Provas
Questão presente nas seguintes provas
Se um pedaço de madeira de 1 m de comprimento for dividido em quatro partes iguais, cada uma das partes terá um comprimento de
Provas
Questão presente nas seguintes provas
Na prática dos cuidados de enfermagem, alguns procedimentos requerem o uso da técnica asséptica com o objetivo de diminuir ao máximo a presença de microrganismos, ajudando na prevenção de infecção e promovendo a segurança do paciente. A utilização de luvas estéreis é um dos itens de biossegurança necessários ao profissional. Marque a alternativa correta quanto ao procedimento no qual se faz uso de luvas estéreis.
Provas
Questão presente nas seguintes provas
De acordo com as últimas estimativas realizadas sobre a taxa de incidência de neoplasias malignas femininas (Brasil. DATASUS, 2012), o câncer de mama é uma das mais incidentes no Brasil. Dependendo do estágio da doença, é necessária a realização de mastectomia, o que pode resultar no desenvolvimento de um linfedema. São recursos fisioterapêuticos sabidamente eficazes no tratamento do linfedema:
Provas
Questão presente nas seguintes provas
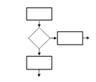
Ao elaborar procedimentos administrativos, é comum que o gestor use ferramentas que o auxilie na visualização destes antes de sua execução. Um exemplo são os fluxogramas, que formam a imagem gráfica dos caminhos a serem percorridos pelo procedimento idealizado, permitindo sua simulação, evitando e corrigindo eventuais erros de planejamento antes que eles aconteçam. A figura representa um fragmento de fluxograma.

Nesse fluxo, pelo significado padrão do símbolo, o losango indica
Provas
Questão presente nas seguintes provas
Ministra assina convênios com prefeituras do RJ para
ampliar classe média rural
ampliar classe média rural
A agricultura urbana, que a ministra da Agricultura, Pecuária e Abastecimento, Kátia Abreu, começa a implantar no Rio de Janeiro, é uma modalidade de educação ambiental e de cidadania que agrega ao espaço das metrópoles meios de torná-lo mais humano e produtivo. Seus efeitos benéficos e transformadores vão da segurança pública à produção alimentar, difundindo valores essenciais à preservação ambiental.
BRASIL. Ministério da Agricultura. Notícias. Políticas Públicas. 9 set. 2015.
A celebração de convênios entre o Governo Federal e os Municípios é um forte instrumento para a execução de políticas públicas. Dadas as afirmativas quanto a execução dos referidos convênios,
I. Os rendimentos de aplicação de recursos de convênios, feita pelos Municípios em caderneta de poupança de instituição financeira pública federal, ficam dispensados das condições gerais e regras para prestação de contas do convênio.
II. O Município devolverá o saldo não utilizado na execução do objeto dentro do prazo estabelecido para apresentação da prestação de contas.
III. O prazo para a prestação de contas deve ser definido no convênio, não podendo ultrapassar 60 (sessenta) dias contados após o encerramento da vigência ou a conclusão da execução do objeto do convênio, o que ocorrer primeiro.
verifica-se que está(ão) correta(s)
Provas
Questão presente nas seguintes provas
- Manual de Redação da Presidência da RepúblicaAs Comunicações OficiaisSignatáriosFechos e Identificação do Signatário
Em relação aos fechos das comunicações oficiais, no caso de comunicação oficial para autoridades superiores, inclusive o Presidente da República, deve-se empregar:
Provas
Questão presente nas seguintes provas
2505110
Ano: 2015
Disciplina: Administração Financeira e Orçamentária
Banca: UFAL
Orgão: Pref. Inhapi-AL
Disciplina: Administração Financeira e Orçamentária
Banca: UFAL
Orgão: Pref. Inhapi-AL
Provas:
Dadas as demonstrações contábeis,
I. Demonstração do Resultado Econômico.
II. Balanço Financeiro.
III. Demonstração das Mutações do Patrimônio Líquido.
IV. Demonstração das Variações Patrimoniais.
verifica-se que, de acordo com a Norma Brasileira de Contabilidade – NBC T 16.6 (R1), é(são) demonstração(ões) a ser(em) elaborada(s) e divulgada(s) pelas entidades do setor público:
Provas
Questão presente nas seguintes provas
A duração dos contratos regidos pela Lei n.º 8.666/1993 ficará adstrita à vigência dos respectivos créditos orçamentários. Dadas as afirmativas acerca das exceções a essa regra,
I. Contratações de incentivo à inovação e pesquisa científica, podendo ser prorrogadas por até 120 meses.
II. Aluguel de equipamentos e a utilização de programas de informática, podendo a duração estender-se pelo prazo de até 48 meses.
III. Prestação de serviços a serem executados de forma contínua, que poderão ter a sua duração prorrogada por iguais e sucessivos períodos com vista à obtenção de preços e condições mais vantajosas para a Administração, por até 60 meses.
verifica-se que está(ão) correta(s)
Provas
Questão presente nas seguintes provas
Cadernos
Caderno Container