Foram encontradas 224 questões.
2 GSH + O2 → GSSG + H2O + H+
Analisando a reação química é incorreto afirmar que:
Provas
Provas
Considerando a natureza química e o contexto histológico do corpo, qual delas não se relaciona com o princípio fisiológico da AIBC?
Provas
Provas
1 – A assimilação é como "incorporação de um elemento exterior (objeto, acontecimento etc.) num esquema sensório-motor-ou conceitual do sujeito”
e
2 – A acomodação é como “a necessidade do esquema de assimilação em considerar as particularidades próprias dos elementos a assimilar. Está subordinada à assimilação
Provas
Provas
I – Os flamingos desenvolveram pernas longas gradualmente ao longo das gerações por usar frequentemente as pernas para alcançar alimento.
II – Os flamingos com pernas mais longas sobreviviam e se reproduziam mais em ambientes com menos comida.
III – As mutações genéticas introduziram variabilidade nos flamingos e a seleção natural favoreceu aqueles com genes para características mais vantajosas, como pernas longas.
Assinale a alternativa que for correta:
Provas
Provas
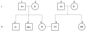
I – Se o casal I.3 e I.4 vier a ter mais uma criança, a probabilidade dela vier a sofrer eritroblastose fetal será de 50%.
II – O único indivíduo que não possui doadores neste grupo é o II.1
III – E m uma hipotética gestação resultante de um cruzamento da mulher indicada em II.3 e do homem II.4, a probabilidade de nascer uma menina doadora para o avô paterno é de 25%.
IV – Somente o indivíduo II.2 possui genótipo homozigoto dominante para os dois genes envolvidos no heredograma.
Das sentenças acima, as verdadeiras são:
Provas

Observe a representação de uma sucessão ecológica na imagem. Depois julgue as sentenças abaixo e em seguida assinale a alternativa correta:
I – As comunidades clímax representadas por “3” e “5” apresentam maiores biomassas e relações ecológicas que qualquer outro nível da sucessão. Nesse nível a biodiversidade é a maior o que justifica a maior produtividade primária líquida do ecossistema.
II – A sucessão ecológica secundária “B” apresenta menor tempo de recolonização pois o solo já foi previamente modificado ao longo da sucessão primária “A”, por isso, espera-se um aumento da biodiversidade nativa a cada ciclo de recolonização.
III – A comunidade pioneira representada por “1” geralmente é constituída de líquens e musgos.
Provas
Caderno Container