Foram encontradas 310 questões.
Disciplina: Matemática
Banca: ENERGIAESSENCIAL
Orgão: Pref. Julio Castilhos-RS
O valor de 5! - 1! é:
Provas
Disciplina: Matemática
Banca: ENERGIAESSENCIAL
Orgão: Pref. Julio Castilhos-RS
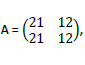
Seja a matriz
o determinante de A vale:
Provas
Disciplina: Matemática
Banca: ENERGIAESSENCIAL
Orgão: Pref. Julio Castilhos-RS
Uma estrada de 72 km foi asfaltada por 3 equipes, A, B e C, cada uma delas atuando, respectivamente, em um trecho proporcional a 1, 2 e 3. O trecho da estrada que coube a equipe C foi de:
Provas
Disciplina: Matemática
Banca: ENERGIAESSENCIAL
Orgão: Pref. Julio Castilhos-RS
A razão entre duas grandezas é 12/60. A representação percentual dessa razão é:
Provas
Disciplina: Pedagogia
Banca: ENERGIAESSENCIAL
Orgão: Pref. Julio Castilhos-RS
- LegislaçãoLei 9.394/1996: Lei de Diretrizes e Bases da Educação Nacional
- Temas Educacionais Pedagógicos
Conforme o Art. 68 da Lei nº 9.394 de 20 de dezembro de 1996, serão recursos públicos destinados à educação os originários de:
I - receita de impostos próprios da União, dos Estados, do Distrito Federal e dos Municípios;
II - receita de transferências inconstitucionais;
III - receita de incentivos fiscais.
Quais as informações acima estão corretas?
Provas
Disciplina: Pedagogia
Banca: ENERGIAESSENCIAL
Orgão: Pref. Julio Castilhos-RS
Conforme o Decreto nº 72.846 de 1973 em seu Art. 2º, o exercício da profissão de Orientador Educacional é privativo:
I – Dos licenciados em pedagogia, habilitados em orientação educacional, possuidores de diplomas expedidos por estabelecimentos de ensino superior oficiais ou reconhecidos.
II – Dos portadores de diplomas ou certificados de orientador educacional obtidos em cursos de pós-graduação, ministrados por estabelecimentos oficiais ou reconhecidos, devidamente credenciados pelo Conselho Federal de Educação.
III – Dos diplomados em orientação educacional por escolas estrangeiras, cujos títulos sejam revalidados na forma da legislação em vigor.
Quais afirmativas acima estão corretas?
Provas
Segundo a Resolução CFM Nº 1931 de 2009, todas as alternativas citadas abaixo correspondem ao que é direito do médico, exceto:
Provas
Disciplina: Ética e Regulação Profissional
Banca: ENERGIAESSENCIAL
Orgão: Pref. Julio Castilhos-RS
Conforme o Art. 2º da Lei Federal nº 6.316 de 1975, o Conselho Federal de Fisioterapia compor-se-á de efetivos e suplentes, respectivamente, eleitos pela forma estabelecida nesta Lei. Assinale a alternativa que preenche corretamente a lacuna acima:
Provas
Disciplina: Direito Ambiental
Banca: ENERGIAESSENCIAL
Orgão: Pref. Julio Castilhos-RS
De acordo com a Resolução CONAMA nº 12, de 04 de maio de 1994, o conceito de “estrato” está presente na alternativa:
Provas
Disciplina: Direito Ambiental
Banca: ENERGIAESSENCIAL
Orgão: Pref. Julio Castilhos-RS
Segundo o Art. 3º da Resolução CONAMA nº 303/2002, constitui Área de Preservação Permanente a área situada:
I – ao redor de nascente ou olho d’água, ainda que intermitente, com raio mínimo de oitenta metros de tal forma que proteja, em cada caso, a bacia hidrográfica contribuinte;
II – em vereda e em faixa marginal, em projeção horizontal, com largura mínima de oitenta metros, a partir do limite do espaço brejoso e encharcado;
III – no topo de morros e montanhas, em áreas delimitadas a partir da curva de nível correspondente a dois terços da altura mínima da elevação em relação a base.
Quais afirmativas acima estão corretas?
Provas
Caderno Container