Magna Concursos

Foram encontradas 310 questões.

1047064 Ano: 2012
Disciplina: Terapia Ocupacional
Banca: ENERGIAESSENCIAL
Orgão: Pref. Julio Castilhos-RS
Provas:

Os terapeutas ocupacionais buscam em suas práticas em saúde e trabalho:

I – criar condições para que o indivíduo não retorne ao trabalho;

II – não se integrar ao processo de mudanças nas condições de trabalho;

III – levar em conta fatores subjetivos envolvidos no processo de adoecimento.

Quais afirmativas acima estão corretas?

 

Provas

Questão presente nas seguintes provas
1047063 Ano: 2012
Disciplina: Terapia Ocupacional
Banca: ENERGIAESSENCIAL
Orgão: Pref. Julio Castilhos-RS
Provas:

Sobre as atividades da profissão do terapeuta ocupacional, são feitas as seguintes afirmações.

Assinale a única alternativa incorreta.

 

Provas

Questão presente nas seguintes provas
1047062 Ano: 2012
Disciplina: Terapia Ocupacional
Banca: ENERGIAESSENCIAL
Orgão: Pref. Julio Castilhos-RS
Provas:

Sobre as definições e realidade da profissão do terapeuta ocupacional, pode-se afirmar que é a área de estudo e utilização de atividades específicas no tratamento de problemas:

I – físicos,

II – mentais,

III – emocionais.

Quais afirmativas acima estão corretas?

 

Provas

Questão presente nas seguintes provas
1047058 Ano: 2012
Disciplina: Direito Ambiental
Banca: ENERGIAESSENCIAL
Orgão: Pref. Julio Castilhos-RS

De acordo com o Art. 4º da Portaria nº 298 de 9 de fevereiro de 2010 (Republicação), fica estabelecido o prazo de para o Grupo de Trabalho apresentar suas conclusões e a minuta de instrumento normativo supra mencionado, a ser submetido à pactuação envolvendo o Conselho Nacional de Secretários de Saúde – CONASS e o Conselho Nacional de Secretários Municipais de Saúde – CONASEMS. Assinale a alternativa que preenche corretamente a lacuna acima:

 

Provas

Questão presente nas seguintes provas
1047057 Ano: 2012
Disciplina: Atualidades e Conhecimentos Gerais
Banca: ENERGIAESSENCIAL
Orgão: Pref. Julio Castilhos-RS

São escritores gaúchos:

I – Caio Fernando Abreu;

II – Simões Lopes Neto;

III – Valesca de Assis.

Quais afirmativas acima estão corretas?

 

Provas

Questão presente nas seguintes provas
1047054 Ano: 2012
Disciplina: Atualidades e Conhecimentos Gerais
Banca: ENERGIAESSENCIAL
Orgão: Pref. Julio Castilhos-RS

A obra “O Centauro no Jardim” pertence a qual dos autores representados abaixo?

 

Provas

Questão presente nas seguintes provas
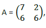
1047042 Ano: 2012
Disciplina: Matemática
Banca: ENERGIAESSENCIAL
Orgão: Pref. Julio Castilhos-RS
Provas:

Sabendo que Enunciado 2511554-1sua diagonal principal vale:

 

Provas

Questão presente nas seguintes provas
1047029 Ano: 2012
Disciplina: Matemática
Banca: ENERGIAESSENCIAL
Orgão: Pref. Julio Castilhos-RS
Provas:

Com a velocidade de 174 km/h, um automóvel percorre um trajeto em 5 horas. Qual deverá ser sua velocidade para percorrer o mesmo trajeto em 2 horas?

 

Provas

Questão presente nas seguintes provas
1047028 Ano: 2012
Disciplina: Matemática
Banca: ENERGIAESSENCIAL
Orgão: Pref. Julio Castilhos-RS
Provas:

Vinte máquinas produzem 160 peças de madeira em 40 dias. Quantas peças iguais as primeiras serão produzidas por 50 máquinas em 30 dias?

 

Provas

Questão presente nas seguintes provas
1047027 Ano: 2012
Disciplina: Estatística
Banca: ENERGIAESSENCIAL
Orgão: Pref. Julio Castilhos-RS
Provas:

A média aritmética entre 0,2 e 0,8 é:

 

Provas

Questão presente nas seguintes provas