Foram encontradas 695 questões.
Entre os medicamentos da biodiversidade incluem-se os fitoterápicos e os fitofármacos que são duas classes de medicamento distintas.
Sobre esses medicamentos, analise as proposições a seguir.
I- Os medicamentos fitoterápicos são provenientes de plantas utilizadas para tratar doenças, porém não apresentam comprovação científica de eficácia e segurança.
II- Os fitofármacos são considerados medicamentos da biodiversidade de origem vegetal e diferem dos fitoterápicos por serem substâncias purificadas e isoladas a partir de matéria-prima vegetal com estrutura química e atividade farmacológica definidas.
III- A principal diferença entre os fitoterápicos e fitofármacos é que os fitoterápicos não necessitam de controle de qualidade durante o processo de fabricação.
IV- Fitofármacos são isolados e utilizados exclusivamente em práticas de medicina tradicional e não têm aplicação na medicina moderna.
É CORRETO o que se afirma apenas em:
Provas
Provas
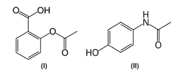
Os fármacos I e II apresentam características peculiares na terapia da inflamação, febre e dor. O fármaco I inibe de maneira irreversível as enzimas cicloxigenases, já o fármaco II é antipirético e analgésico, mas amplamente desprovido de ação anti-inflamatória.

Os fármacos I e II são, respectivamente:
Provas
- Controle de QualidadeControle de Qualidade Industrial
- Farmacologia
- Farmacotécnica e Tecnologia Farmacêutica
Os polímeros utilizados na área farmacêutica podem ser de origem natural ou sintética. Assinale a alternativa que contem um polímero de origem natural.
Provas
A imagem abaixo demonstra a comparação da resposta farmacocinética para o diazepam administrado pela via intravenosa em um homem jovem (A) e um homem idoso (B). O diazepam é biotransformado no fígado a desmetildiazepam pelas enzimas do citocromo P-450. O desmetildiazepam é um sedativo ativo, que é excretado pelos rins.

Fonte: LE, Jennifer. Visão geral da farmacocinética. Skaggs School of Pharmacy and Pharmaceutical Sciences, University of California San Diego. R e v i s a d o / c o r r i g i d o : j u n . 2 0 2 2 . D i s p o n í v e l e m : h t t p s : / / w w w . m s d m a n u a l s . c o m / p t - b r / p r o fi s s i o n a l / f a r m a c o l o g i a -cl%C3%ADnica/farmacocin%C3%A9tica/vis%C3%A3o-geral-da-farmacocin%C3%A9tica. Acesso em: 17 ago. 2024.
Qual fase da farmacocinética está ocorrendo na biotransformação do diazepam em desmetildiazepam?
Provas
Provas
Provas
Disciplina: Estatuto do Idoso - Lei 10.741/2003
Banca: UEPB
Orgão: Pref. Lagoa Seca-PB
Diante do relato da história apresentada e o Estatuto da Pessoa Idosa (Lei nº 10.741/2003 e atualizações), analise os itens a seguir.
I- Os contratos de prestação de serviço com as pessoas idosas da Instituição de Longa Permanência (ILP) AAZZ estão de acordo com o Estatuto da Pessoa Idosa, pois as ILP de caráter filantrópico podem cobrar compulsoriamente a participação da pessoa idosa abrigada no custeio da entidade, não podendo essa participação exceder a 70% (setenta por cento) de qualquer benefício previdenciário ou de assistência social percebido pela pessoa idosa.
II- Os contratos de prestação de serviço com as pessoas idosas das Instituições de Longa Permanência (ILP) AAZZ estão de acordo com o Estatuto da Pessoa Idosa, pois as ILP de caráter filantrópico podem cobrar compulsoriamente a participação da pessoa idosa abrigada no custeio da entidade, se esse pagamento for para a realização de compra, por parte da ILP, de materiais de higiene pessoal, medicamentos e alimentos de uso individual.
III- Os contratos de prestação de serviço com as pessoas idosas da Instituições de Longa Permanência (ILP) AAZZ não estão de acordo com o Estatuto da Pessoa Idosa, em decorrência unicamente de que a participação das pessoas idosas no custeio da entidade não pode exceder a 30% (trinta por cento) de qualquer benefício previdenciário ou de assistência social percebido por estas que estão abrigadas.
IV- Os contratos de prestação de serviço com as pessoas idosas das Instituições de Longa Permanência (ILP) AAZZ não estão de acordo com o Estatuto da Pessoa Idosa, pois não deve ser compulsória a cobrança de participação da pessoa idosa abrigada no custeio das ILP de caráter filantrópico, mesmo o sujeito idoso recebendo benefício previdenciário ou de assistência social.
É CORRETO o que se afirma apenas em:
Provas
Disciplina: Estatuto da Pessoa com Deficiência - Lei 13.146/2015
Banca: UEPB
Orgão: Pref. Lagoa Seca-PB
Provas
Disciplina: Estatuto da Pessoa com Deficiência - Lei 13.146/2015
Banca: UEPB
Orgão: Pref. Lagoa Seca-PB
Provas
Caderno Container