Foram encontradas 164 questões.
Regras do jogo da Mega-Sena
Como jogar
São sorteados 6 números (dezenas) de um total de 60. O apostador pode marcar de 6 a 15 dezenas em um volante. O valor da aposta varia de acordo com o número de dezenas marcadas.
Disponível em: <http://noticias.terra.com.br/loterias/interna/0,,OI1602647-EI189,00.html>.Acesso em: 3 fev. 2017 (adaptado).
Um volante da Mega-Sena com 10 dezenas assinaladas equivale a quantos volantes com 6 dezenas assinaladas?Provas
O gráfico apresenta a distribuição por idade dos alunos de uma escola.

Se um aluno dessa escola vai ser sorteado para ser o porta-bandeira da escola no desfile em comemoração à emancipação política da cidade, a probabilidade de que ele seja menor de quatorze anos é de, aproximadamente,
Provas
Nessas condições, as sobras das pizzas corresponderam a
Provas
I. (A → ¬(A ∧ B)) → B
II. (¬A ∧ ¬B) → ¬(A ∧ B)
III. (A → ¬(¬A ∧ B)) → (B ∧ ¬B)
verifica-se que é(são) contradição(ões)
Provas
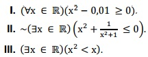
Dadas as proposições, sendo o conjunto dos números reais,

verifica-se que assume(m) valor lógico verdadeiro
Provas
Provas
I. A alienação de bens será sempre condicionada à comprovação do interesse público.
II. A alienação de bens imóveis dependerá de autorização da Câmara de Vereadores.
III. A alienação de bens imóveis dependerá de concorrência, em todas as hipóteses.
verifica-se que está(ão) correta(s)
Provas
I. Autenticidade refere-se à qualidade da informação que tenha sido produzida, expedida, recebida ou modificada por determinado indivíduo, equipamento ou sistema.
II. Informação pessoal é aquela submetida temporariamente à restrição de acesso público em razão de sua pessoalidade, sendo disponibilizada após autorização.
III. Disponibilidade refere-se à qualidade da informação que pode ser conhecida e utilizada por indivíduos, equipamentos ou sistemas autorizados.
verifica-se que está(ão) correta(s)
Provas
Na figura, o triângulo ADE é retângulo e está inscrito em uma circunferência de raio 10 cm. Se os triângulos ABC e BCD são iguais e o menor cateto do triângulo ADE mede 12 cm, qual o valor da área do triângulo ABC em cm2?

Provas
Provas
Caderno Container